Nội dung bài viết
Tụ điện trung thế là thiết bị quan trọng trong hệ thống sử dụng lưới điện trung áp hoặc các doanh nghiệp có nhu cầu sử dụng điện năng cao. KTH ELECTRIC sẽ giới thiệu cấu tạo, nguyên lý làm việc, cách sử dụng và những lưu ý khi đấu nối tụ điện trung thế trong bài viết sau.
Tụ điện trung thế là gì?

Tụ điện trung thế là loại tụ điện được mắc trong hệ thống điện trung áp, có nhiệm vụ tích trữ, phóng điện trong mạch để ổn định điện áp đường dây và bù công suất phản kháng. Tụ điện trung thế thường có nhiều điện áp từ 3kV đến 35kV, được chia thành 1 pha, 2 sứ và 3 pha, 3 sứ.
Cấu trúc và thông số của tụ điện trung thế
Tụ điện trung thế có khả năng cách điện tốt, gồm 2 dây dẫn là 2 tấm nhôm mỏng lót giấy cách điện, uốn cong rồi cho vào dầu cách điện bên trong hộp kín làm bằng hợp kim nhôm, bọc nhựa. Các đầu dây trên bo mạch được kết thúc bằng chất cách điện bằng gốm để kết nối với nguồn điện.
Các thông số cơ bản của tụ điện trung thế bao gồm:
- Fdm: tần số định mức (Hz)
- Qdm: Công suất phản kháng định mức (kVAR)
- Udm: điện áp định mức của tụ điện (kV)
- Cdm: công suất tụ điện (μF)
Tụ điện trung thế hoạt động như thế nào
Thông thường, công suất truyền từ nguồn tới tải bao gồm hai loại: công suất tác dụng và công suất phản kháng. Công suất tác dụng là công suất hữu ích của thiết bị (đơn vị là W/KW). Công suất phản kháng là công suất vô ích, đơn vị của nó là VAr và kVA. Để giảm công suất phản kháng cần phải bù hệ số công suất cosφ. Tụ điện có thể bù công suất phản kháng và tránh bị phạt từ ngành điện lực.

Tụ trung thế hoạt động như sau: Khi tụ có điện kháng tức là dòng điện lệch pha so với điện áp thì tụ trung thế được tích điện và tạo ra dòng điện dẫn pha điện áp. Dòng điện từ tụ điện cân bằng với dòng tải cảm ứng làm giảm công suất phản kháng và tăng cosφ. Tụ điện trung thế được tích điện và phóng điện liên tục để duy trì ngưỡng cosφ cao.
Ứng dụng của tụ điện trung thế
Tụ điện trung thế được sử dụng cho các mục đích sau:
- Tiết kiệm hóa đơn tiền điện: Tụ điện trung thế tăng hệ số công suất cosφ trên mức phạt, đảm bảo hiệu suất lưới điện đồng thời tiết kiệm hóa đơn tiền điện.
- Giảm chi phí đầu tư, bảo trì, sửa chữa các thiết bị điện.
- Giúp giảm thiểu tổn thất điện năng và giảm sụt áp trên lưới.
Tụ điện trung thế thường được sử dụng trong các hệ thống điện lớn như nhà máy, xí nghiệp. Ngoài ra, thiết bị còn được sử dụng trong các hệ thống phát điện gió, hệ thống phát điện mặt trời, lưới truyền tải khu vực để giảm chi phí truyền tải điện.
Xem thêm: Tụ điện hạ thế: Thông số kỹ thuật và vai trò trong hệ thống
Một số phương pháp bù cho mạch trung thế
Có ba phương pháp bù thường được sử dụng cho mạch trung thế:
- Bù cố định: Mặc dù sơ đồ đấu nối tụ điện này đơn giản và có chi phí đầu tư thấp nhưng nó không tương thích với sơ đồ tải. Ở mức tải thấp, công suất phản kháng sẽ bị đảo ngược, gây thêm tổn thất điện năng. Vì vậy, việc bù cố định chỉ áp dụng cho việc bù tải nền.
- Bồi thường dựa trên cosφ: Tính toán chính xác lượng cosφ cần bù để thiết kế và tính toán công suất tụ tương ứng đặt trong trạm biến áp. Tuy nhiên, loại này gây ra tổn thất điện năng nhỏ ở lưới điện hạ áp. Bù dựa trên cosφ phù hợp với các trạm biến áp chuyên dùng hoặc các tình huống có bán kính đường dây hạ thế nhỏ.
- Bù theo thời gian: Đặt thời gian và công suất bù theo thời gian đỉnh và đáy của tải. Khi phụ tải biến động theo mùa do thời tiết hoặc đặc điểm sản xuất thì yêu cầu về thời gian cần phải tương thích.
Những lưu ý khi lắp đặt tụ điện trung thế
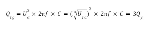
Tụ điện trung thế thường có dạng tụ điện một pha có điện áp danh định tương đương với điện áp dây dẫn Ud. Khi đấu nối các tụ điện vào lưới điện trung thế cần đấu nối theo sơ đồ tam giác. Trong cùng một giá trị điện dung C, công suất bù do sơ đồ này tạo ra lớn hơn 3 lần so với sơ đồ nối sao.

Tuy nhiên, trong một số tình huống thực tế, phương pháp đấu nối tụ điện trung thế vẫn được sử dụng. Tại thời điểm này, điện áp mà tụ điện chịu đựng nhỏ hơn 3 lần so với kết nối tam giác. Điện áp chịu đựng của tụ điện được cố định. Trung bình, nếu mức điện áp chịu đựng tăng thêm 10% thì chi phí đầu tư cho tụ điện sẽ tăng thêm khoảng 20% là chưa tối ưu.
Ví dụ: khi muốn bù 150kVAr cho lưới điện 22kV, có 2 cách:
- Phương pháp một: Sử dụng 3 tụ điện có công suất 150kVAr – 12,7kV, nối theo sơ đồ hình sao. Lúc này, điện áp đặt vào các cực của tụ điện là điện áp pha, bằng 12,7kV – đúng bằng điện áp định mức của tụ điện. Mỗi tụ điện sẽ tạo ra công suất tương đương với công suất định mức 50kVAr nên 3 tụ điện là 150kVAr.
- Phương pháp 2: Nếu đấu theo sơ đồ tam giác thì phải chọn 3 tụ điện có công suất 50kVAr – 22kV thì điện áp đặt vào các cực của tụ mới bằng điện áp định mức của tụ thì tổ máy sẽ phát ra đúng công suất định mức, 3 tụ 50kVAr mỗi tụ có 150kVAr.
Xoay chuyển vấn đề. Nếu sử dụng và đấu nối 3 tụ điện 50kVAr-22kV theo sơ đồ Y thì điện áp đặt vào các cực của tụ điện chỉ là điện áp pha: 12,7kV=(1/√3)x22 (điện áp định mức của tụ điện). Như vậy, công suất ra của tụ chỉ bằng 1/3 công suất định mức, tức là mỗi tụ chỉ có thể xuất ra 17,67KVAr, gây lãng phí.
Nếu ba tụ điện có công suất 50kVAr-12,7kV mắc nối tiếp nhau thì các cực của tụ sẽ chịu được điện áp gấp 3 lần điện áp định mức của tụ, dễ gây cháy, nổ.
Vì vậy, những tụ điện chỉ chịu được quá điện áp là:
- 1.1Un (điện áp định mức) 12 giờ một ngày
- 1.15Un 30 phút mỗi ngày
- 1,2Un trong 5 phút
- 1,3Un trong 1 phút
Vì vậy, trước khi lựa chọn và đấu nối tụ điện, yếu tố quan trọng nhất là tính toán công suất của tụ điện dựa trên điện áp định mức của nó.
Trên đây, KTH ELECTRIC cung cấp những thông tin quan trọng liên quan đến tụ điện trung thế, bao gồm: định nghĩa, cấu tạo, ứng dụng và cách lựa chọn, đấu nối, vận hành. Để tìm hiểu thêm về tụ điện bạn có thể truy cập: https://etinco.vn/tin-tuc/kien-thuc/

Nội dung được phát triển bởi đội ngũ truongchuvananhue.edu.vn với mục đích chia sẻ và tăng trải nghiệm khách hàng. Mọi ý kiến đóng góp xin vui lòng liên hệ tổng đài chăm sóc: 1900 0000 hoặc email: hotro@truongchuvananhue.edu.vn