Nội dung bài viết
Trong chương trình hóa học phổ thông, kiến thức về aldehit, đặc biệt là aldehyt benzoic là nội dung trọng tâm mà học sinh cần nắm vững để có thể giải được các bài tập liên quan. Bài viết dưới đây vietchem sẽ giúp các bạn hiểu rõ hơn về benzoic aldehyde và giải một số bài tập liên quan đến hợp chất hóa học này.
1. Aldehit benzoic là gì?
Benzoic Aldehyd còn được gọi là Benzaldehyde. Đây là một hợp chất hữu cơ của aldehyd thơm đơn giản nhất.
Công thức cấu tạo của aldehyt benzoic là C6H5CHO

Cấu trúc phân tử của Benzoic Aldehyt
2. Tính chất hóa lý đặc trưng của Benzoic Aldehyd
2.1 Tính chất vật lý của aldehyd benzoic
- Aldehit benzoic tồn tại ở dạng lỏng, không màu, lâu ngày chuyển sang màu vàng.
- Mùi: Mùi hạnh nhân
- Mật độ: 1.046 g.cm3
- Nhiệt độ sôi: 179 độ C
- Ít tan trong nước nhưng tan nhanh trong ete, etanol, benzen và cloroform.
- Trong không khí, aldehyd benzoic sẽ bị oxy hóa thành axit benzoic.
2.2 Tính chất hóa học của aldehyd benzoic
Aldehit benzoic có tất cả các tính chất hóa học của aldehyd.
* Aldehyt tham gia phản ứng cộng hydro

Ghi chú:
– Khi Aldehyd phản ứng với H2, nếu gốc R có liên kết π thì H2 sẽ thêm vào các liên kết π đó.
– Aldehyd đóng vai trò là chất oxi hóa khi phản ứng với H2.
* Andehit tham gia phản ứng oxi hóa
- Phản hồi đầy đủ:

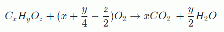
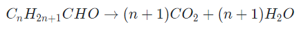
Khi đốt cháy, nCO2 = nH2O là một aldehyt bão hòa, đơn chức, mạch hở.

- Phản hồi không đầy đủ:

* Aldehyt tham gia phản ứng phủ bạc

Ghi chú:
- Mỗi nhóm CHO sẽ tạo ra 2Ag
- Riêng HCHO có phản ứng sau:

* Andehit phản ứng với Cu(OH)2

Phản ứng này tạo ra kết tủa màu đỏ gạch và thường được sử dụng để nhận biết andehit. Phản ứng xảy ra trong điều kiện kiềm và nhiệt độ:
* Aldehyd phản ứng với Br2

3. Cách điều chế aldehyt benzoic

Aldehyd benzzoic được điều chế như thế nào?
Aldehit benzoic được điều chế theo một số cách như:
- Tiến hành oxy hóa trực tiếp Toluene bằng MnO2 và H2SO4 với xúc tác V2O5.
- Thủy phân Benzyldenide clorua
- Được điều chế từ benzen và oxit cacbon với chất xúc tác AlCl3 và HCl.
4. Một số bài tập bôi aldehyt benzoic

Bài 1: Công thức thu gọn của aldehyd benzoic là:
- C6H5CH2=CH-CHO
- C6H5CHO
- (CHO)2
- C6H4(CHO)2
=> Đáp án: B
Bài tập 2: Cho hai chất sau: aldehyt benzoic và aldehyt axetic. Trong hai chất này, chất nào tan tốt trong nước?
- Aldehit benzoic
- Aldehit axetic
- Cả hai đều không hòa tan
- Hòa tan đều.
Bài 3: Phản ứng với aldehyd benzoic C6H5-CHO với kiềm đậm đặc theo phương trình sau:
2C6H5CHO + KOH → C6H5COOK + C6H5CH2OH
(benzoic aldehyde) (kali benzoat) (rượu benzylic)
Trong phản ứng này:
- Aldehit benzoic chỉ bị khử
- Aldehit benzoic chỉ bị oxy hóa.
- Aldehit benzoic vừa bị oxi hóa vừa bị khử
- Aldehydebenzoic không bị oxy hóa cũng không bị khử.
=> Đáp án: C
Do số oxi hóa của C trong -CHO vừa giảm vừa tăng sau phản ứng nên aldehyd benzoic vừa bị khử vừa bị oxy hóa.
Trên đây là những thông tin vietchem muốn cung cấp tới các bạn về benzoic aldehyde. Hy vọng bài viết này đã giúp mọi người hiểu rõ hơn về tính chất đặc trưng và ứng dụng quan trọng của hợp chất hóa học này. Nếu bạn còn thắc mắc hãy để lại bình luận bên dưới bài viết, Trường Chu Văn An sẽ giải đáp!

vietchem – đơn vị chuyên cung cấp các sản phẩm hóa chất công nghiệp uy tín, chất lượng
Bên cạnh đó, nếu bạn đang có nhu cầu về hóa chất công nghiệp, cũng như thiết bị phòng thí nghiệm, vui lòng tham khảo sản phẩm qua website vietchem hoặc liên hệ tới hotline: 0826 010 010 để được tư vấn. Đến với Trường Chu Văn An, khách hàng có thể hoàn toàn tin tưởng vào chất lượng sản phẩm cũng như giá cả. Với 20 năm hoạt động trong lĩnh vực hóa chất, vietchem luôn tự hào về sự hài lòng mà mình mang lại cho khách hàng.

Nội dung được phát triển bởi đội ngũ truongchuvananhue.edu.vn với mục đích chia sẻ và tăng trải nghiệm khách hàng. Mọi ý kiến đóng góp xin vui lòng liên hệ tổng đài chăm sóc: 1900 0000 hoặc email: hotro@truongchuvananhue.edu.vn