Nội dung bài viết
Chúng ta thường nghe nói nhiều về lưu huỳnh trong các chương trình giáo dục cũng như trong đời sống hàng ngày. Tuy nhiên, không phải ai cũng biết rõ về tính chất cũng như những vấn đề sâu xa hơn về loại phi kim loại này. Bài viết hôm nay Trường Cao Bá Quát sẽ giúp các bạn tìm hiểu thêm về loại phi kim này.
Lưu huỳnh là gì?
Tìm hiểu về lưu huỳnh
- Lưu huỳnh hay còn gọi là lưu huỳnh là nguyên tố hóa học trong bảng tuần hoàn, có ký hiệu là S và có số hiệu nguyên tử là 16.
- Nguyên tố này là một phi kim phổ biến, không mùi, không vị và có nhiều hóa trị.
- Dạng gốc của phi kim này là chất rắn kết tinh màu vàng chanh.
- Trong tự nhiên, phi kim loại này có thể được tìm thấy ở dạng nguyên chất hoặc ở dạng khoáng chất sunfua và sunfat.
- Lưu huỳnh được coi là nguyên tố thiết yếu cho sự sống và được tìm thấy trong hai loại axit amin. Về mặt thương mại, chúng được sử dụng trong phân bón hoặc thuốc súng, diêm, thuốc trừ sâu và thuốc diệt nấm, v.v.
- Địa điểm: Ô 16, tiết 3, nhóm VIA
- Ký hiệu: 3216S1632S
- Cấu hình e: 1s22s22p63s23p41s22s22p63s23p4
- Độ âm điện: 2,58
Tìm hiểu thêm thông tin: CLO là gì? Tính chất, công dụng & cách điều chế CLO
ĐẶC ĐIỂM NỔI BẬT CỦA LƯU LƯỢNG
Đặc tính nổi bật của lưu huỳnh
– Ở nhiệt độ phòng, lưu huỳnh ở trạng thái rắn xốp, có màu vàng nhạt và ở trạng thái tinh khiết không có mùi. Khi đốt cháy, phi kim loại này có ngọn lửa màu xanh và thải ra khí lưu huỳnh đioxit, có mùi ngột ngạt, khác thường và tạo cảm giác khó chịu. Lưu huỳnh không tan trong nước nhưng tan trong carbon disulfide và các dung môi không phân cực khác. Một số trạng thái oxy hóa phổ biến của Lưu huỳnh là -2, -1 (pyrit sắt…), +2, +4 và +6. Lưu huỳnh tạo thành các hợp chất ổn định với hầu hết các nguyên tố, ngoại trừ các khí hiếm.
– Ở trạng thái rắn, Lưu huỳnh tồn tại dưới dạng phân tử có hình vòng hoa S8 và ngoài ra nó còn có nhiều hình dạng khác. Màu vàng đặc trưng của lưu huỳnh được tạo ra bằng cách loại bỏ một nguyên tử khỏi vòng S7. Ngược lại, nguyên tố oxy cùng nhóm nhưng nhẹ hơn về cơ bản chỉ tồn tại ở hai dạng: O2 và O3.
– Lưu huỳnh có tinh thể rất phức tạp, tùy theo điều kiện cụ thể mà các dạng thù hình của chúng tạo thành các cấu trúc tinh thể khác nhau, dạng S8 hình thoi và xiên đơn là dạng được nghiên cứu tỉ mỉ nhất.
– Lưu huỳnh nóng chảy có độ nhớt, đây cũng là đặc tính nổi bật của phi kim này, độ nhớt này tăng theo nhiệt độ do sự hình thành chuỗi polyme. Tuy nhiên, sau khi đạt đến một phạm vi nhiệt độ nhất định, độ nhớt sẽ giảm do đã sử dụng đủ năng lượng để phá vỡ chuỗi polymer. – Lưu huỳnh vô định hình hay còn gọi là “nhựa”, có thể được tạo ra khi Lưu huỳnh nóng chảy được làm lạnh nhanh chóng. Theo tinh thể học tia X, dạng vô định hình có thể có cấu trúc xoắn ốc với tám nguyên tử trên mỗi vòng. Dạng này ổn định ở nhiệt độ phòng và dần dần chuyển thành dạng tinh thể. Quá trình này diễn ra trong vài giờ hoặc vài ngày nhưng có thể được tăng tốc nếu có chất xúc tác.
ỨNG DỤNG CỦA LƯU CHUYỂN
ỨNG DỤNG CỦA LƯU CHUYỂN
Công dụng chính của lưu huỳnh
Lưu huỳnh được sử dụng rộng rãi trong công nghiệp với nhiều ứng dụng khác nhau. Lưu huỳnh, có dẫn xuất chính là axit sulfuric (H2SO4), được coi là một trong những nguyên tố quan trọng nhất được sử dụng làm nguyên liệu thô công nghiệp và được coi là quan trọng nhất đối với mọi lĩnh vực của nền kinh tế thế giới.
Một số ứng dụng chính của lưu huỳnh:
-
- Sản xuất axit sunfuric.
- Được sử dụng trong pin, bột giặt, lưu hóa cao su, thuốc diệt nấm và được sử dụng trong sản xuất phân lân.
- Sulfites được sử dụng để làm trắng giấy và làm chất bảo quản trong rượu vang và trái cây khô.
- Vì tính chất dễ cháy nên nó còn được sử dụng trong diêm, thuốc súng và pháo hoa.
- Magie sunfat (muối Epsom) có thể dùng làm thuốc nhuận tràng, bổ sung vào bình ngâm (đã xử lý hóa học), tẩy tế bào chết vỏ cây, hoặc bổ sung magie cho cây trồng.
- Lưu huỳnh nóng chảy cũng được sử dụng để tạo ra các vật trang trí khảm trên các sản phẩm gỗ.
Vai trò sinh học
-
- Các axit amin cysteine và methionine đều chứa lưu huỳnh, cũng như tất cả các polypeptide, protein và enzyme có chứa các axit amin này, khiến lưu huỳnh trở thành thành phần thiết yếu cho mọi tế bào.
- Liên kết disulfide giữa các polypeptide đóng vai trò rất quan trọng trong việc hình thành và cấu trúc của protein. Homocysteine và taurine cũng là các axit amin chứa lưu huỳnh nhưng không được mã hóa bởi DNA và không phải là một phần của cấu trúc chính của protein.
- Một số loại vi khuẩn sử dụng hydro sunfua (H2S) thay cho nước làm chất cho điện tử trong các quá trình thô sơ tương tự như quá trình quang hợp.
- Thực vật cũng hấp thụ lưu huỳnh từ đất dưới dạng ion sunfat.
- Lưu huỳnh vô cơ tạo thành một phần của cụm sắt-lưu huỳnh và lưu huỳnh là tác nhân bắc cầu ở vị trí CuA của cytochrom c oxydase.
- Lưu huỳnh cũng là thành phần quan trọng của coenzym A.
Ảnh hưởng môi trường
-
- Than và dầu mỏ trong công nghiệp khi đốt trong các nhà máy điện thải ra một lượng lớn sulfur dioxide SO2, phản ứng với hơi nước và oxy trong khí quyển tạo thành axit sulfuric, tạo ra mưa axit làm giảm độ pH của đất và các vùng nước ngọt, gây phong hóa hóa học các công trình xây dựng, công trình kiến trúc.
Tìm hiểu thêm thông tin: Phèn nhôm là gì? Tính chất, ứng dụng & địa điểm mua phèn nhôm uy tín
TÍNH CHẤT CỦA LƯU CHUYỂN
TÍNH CHẤT CỦA LƯU CHUYỂN
Tính chất vật lý
Dạng dị hình:
-
- Lưu huỳnh độc ác: SαSα
- Lưu huỳnh đơn tà: SβSβ
Hai dạng này khác nhau về cấu trúc tinh thể và một số tính chất vật lý nhưng có cùng tính chất hóa học. Hai dạng này có thể thay đổi qua lại tùy theo điều kiện nhiệt độ.
Ảnh hưởng của nhiệt độ đến tính chất vật lý:
-
- Ở nhiệt độ <113 độ C, Sα và Sβ là chất rắn màu vàng, phân tử có 88 nguyên tử liên kết cộng hóa trị với nhau tạo thành vòng.
- Ở nhiệt độ = 119 độ C, Sα và Sβ nóng chảy thành chất lỏng màu vàng, rất dẻo.
- Ở nhiệt độ 187 độ C, lưu huỳnh lỏng trở nên nhớt và có màu nâu đỏ.
- Ở nhiệt độ 445 độ C, lưu huỳnh sôi.
Tính chất hóa học
Nguyên tử S có 6 electron ở lớp ngoài cùng, trong đó có 2 electron độc thân.
Trong một phản ứng hóa học, số oxi hóa của lưu huỳnh có thể giảm hoặc tăng: −2; 0; +4; +6.
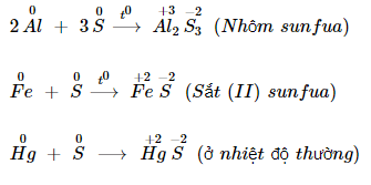
Tính chất oxy hóa
Khi phản ứng với kim loại hoặc hydro, số oxi hóa của Lưu huỳnh giảm từ 0 xuống -2.

Khi phản ứng với kim loại: Lưu huỳnh phản ứng với kim loại tạo thành muối sunfua.

Khi nó phản ứng với hydro, nó tạo thành khí hydro sunfua.
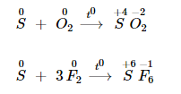
Tính chất khử
Lưu huỳnh phản ứng với phi kim trở nên hoạt động mạnh hơn, số oxi hóa tăng từ 0 lên +4 hoặc +6.

Lưu huỳnh phản ứng với phi kim khi ở nhiệt độ thích hợp.

Phản ứng với các chất oxy hóa mạnh.

SẢN XUẤT Lưu Huỳnh
SẢN XUẤT Lưu Huỳnh
Lưu huỳnh được sản xuất chủ yếu bằng hai phương pháp sau:
Phương pháp vật lý:
-
- Khai thác tự do dưới lòng đất.
- Sử dụng hệ thống nén nước siêu nóng (170 độ C) vào mỏ lưu huỳnh để đẩy lưu huỳnh nóng chảy lên bề mặt.
Phương pháp hóa học:
- Đốt cháy H2S trong điều kiện không có không khí.

- Dùng H2S để loại bỏ SO2.

LỊCH SỬ HÌNH THÀNH LƯU LƯU
Lưu huỳnh có tên tiếng Phạn là sulvere và tên Latin: lưu huỳnh hay còn gọi là lưu huỳnh, diêm sinh màu vàng và diêm sinh.
Trong tiếng Ả Rập sufra có nghĩa là màu vàng, từ màu sáng của dạng lưu huỳnh tự nhiên và được cho là tên nguyên tử của lưu huỳnh trong ngôn ngữ của một số nước châu Âu hiện đại.
Homer đã đề cập đến “lưu huỳnh hủy diệt” ngay từ thế kỷ thứ 9 trước Công nguyên và vào năm 424 trước Công nguyên, các bộ lạc ở Boeotia đã phá hủy các bức tường thành bằng cách đốt hỗn hợp than, lưu huỳnh và hắc ín ở chân tường.
Khoảng thế kỷ 12, người Trung Quốc đã phát minh ra thuốc súng, là hỗn hợp của kali nitrat (KNO3), cacbon và lưu huỳnh.
Năm 1867 lưu huỳnh được phát hiện tại các mỏ ở Louisiana và Texas.
PHỔ BIẾN CỦA LƯU CHUYỂN
PHỔ BIẾN CỦA LƯU CHUYỂN
Ở dạng nguyên chất, Lưu huỳnh được tìm thấy gần các suối nước nóng và khu vực núi lửa ở nhiều nơi trên thế giới, đặc biệt dọc theo Vành đai lửa Thái Bình Dương.
Các mỏ lưu huỳnh nguyên tố đáng kể cũng tồn tại trong các mỏ muối dọc theo bờ biển Vịnh Mexico và trong các chất bay hơi ở Đông Âu và Tây Á.
Lưu huỳnh thu được từ dầu, khí đốt và cát hắc ín Athabasca đã trở thành nguồn cung cấp chính trên thị trường, với các kho dự trữ lớn trên khắp Alberta.
Các hợp chất chứa lưu huỳnh xuất hiện tự nhiên phổ biến nhất là sunfua kim loại, chẳng hạn như pyrit (sắt sunfua), chu sa hoặc chu sa (thủy ngân sunfua), galena (chì sunfua), sphalerit (kẽm sunfua) và stibnite (antimon sunfua) cũng như sunfat kim loại, chẳng hạn như thạch cao (canxi sunfat), alunite (kali nhôm sunfat) và barit (bari sunfat).
Tham khảo thêm bài viết khác: Canxi clorua là gì? Tính chất, phương pháp sản xuất, ứng dụng & Nơi cung cấp
HỢP CHẤT LƯU CHUYỂN
HỢP CHẤT LƯU CHUYỂN
Hợp chất của lưu huỳnh là Hydrogen Sulfide, có mùi trứng thối đặc trưng. Khi hòa tan trong nước, nó có tính axit và phản ứng với nhiều kim loại tạo ra sunfua kim loại.
Sunfua kim loại khá phổ biến, phổ biến nhất là sắt, sunfua sắt còn được gọi là pyrit.
Lưu huỳnh còn có nhiều hợp chất khác như ethyl, methyl mercaptan có mùi khó chịu, được dùng làm chất tạo mùi cho gas để dễ dàng phát hiện rò rỉ.
Nitrua lưu huỳnh polyme hóa có tính chất kim loại mặc dù chúng không chứa bất kỳ nguyên tử kim loại nào. Chúng có các đặc tính điện và quang khác thường và polyme có thể được tạo ra từ lưu huỳnh tetranitrit S4N4.
Một số hợp chất quan trọng khác của lưu huỳnh
Hợp chất vô cơ
Một số hợp chất vô cơ của lưu huỳnh là:
-
- Sunfua (S2-)
- sunfit (SO32-), muối của axit sunfuric, H2SO3, axit sunfurơ và các sunfit tương ứng, ion pyrosunfit hoặc metanbisulfit (S2O52−).
- sunfat (SO42-), muối của axit sunfuric.
- thiosulfate (đôi khi được gọi là thiosulfite hoặc “hyposulfite”) (S2O32−)- dưới dạng natri thiosulfate.
- Natri đithionit, Na2S2O4 được sản xuất từ axit hyposulfurơ/dithionin –
- Natri đithionat (Na2S2O6)
- axit polythionic (H2SnO6)
- Axit peroxymonosulfuric (H2SO5) và axit peroxydisulfuric (H2S2O8)-
- natri polysulfua (Na2Sx)
- Lưu huỳnh hexaflorua, SF6
- Lưu huỳnh tetranitrit S4N4
Hợp chất hữu cơ
Một số hợp chất hữu cơ:
-
- dimetyl sulfoniopropionat (DMSP; (CH3 )2S+CH2CH2COO-)
- thiol (hoặc mecaptan)
- thiolate
- lưu huỳnh
- lưu huỳnh
- thuốc thử Lawesson
- Naptalene-1,8-diyl 1,3,2,4-dithiadiphosphate 2,4-disulfide
đồng vị
-
- Lưu huỳnh có 18 đồng vị, trong đó có 4 đồng vị ổn định: S32 (95,02%), S33 (0,75%), S34 (4,21%) và S36 (0,02%).
Cẩn thận với hợp chất lưu huỳnh
Cần thận trọng khi xử lý: carbon disulfide, carbon oxysulfide, hydrogen sulfide và sulfur dioxide.
-
- Sulfur dioxide an toàn khi được sử dụng làm phụ gia thực phẩm với số lượng nhỏ, nhưng ở nồng độ cao, nó phản ứng với độ ẩm để tạo ra lượng axit sulfurous đủ gây tổn thương cho phổi, mắt và các cơ quan khác.
- Hydro sunfua rất độc, độc hơn cả xyanua.
Qua bài viết này, Trường Cao Bá Quát đã chia sẻ đến các bạn những điều cần biết về lưu huỳnh cũng như những lưu ý khác về phi kim loại này. Nếu bạn còn thắc mắc về lưu huỳnh hay các vấn đề liên quan khác hãy liên hệ ngay với chúng tôi để được giải đáp.
Hãy liên hệ ngay với chúng tôi quaHotline: (028) 3811 9991 để được hỗ trợ và tư vấn nhanh nhất.
Đầu vào .wpcf7-form-control-wrap{border-radius:5px;box-shadow:none} .wpcf7-form-control{border-radius:5px;box-shadow:none} đầu vào[type=”submit”]đầu vào[type=”submit”].button, đầu vào[type=”submit”].chính {bán kính đường viền: 5px} .wpcf7-spinner{display:none}

Nội dung được phát triển bởi đội ngũ truongchuvananhue.edu.vn với mục đích chia sẻ và tăng trải nghiệm khách hàng. Mọi ý kiến đóng góp xin vui lòng liên hệ tổng đài chăm sóc: 1900 0000 hoặc email: hotro@truongchuvananhue.edu.vn