Nội dung bài viết
Với ứng dụng làm chất trung gian hóa học trong sản xuất mỹ phẩm, chất hoạt động bề mặt, chất nhũ hóa cho sữa, dược phẩm, nhựa, hấp thụ và loại bỏ khỏi các nhà máy lọc dầu và các sản phẩm khí tự nhiên sản xuất amoniac… Vì vậy Mono etanolamin Các đặc điểm là gì? Hãy cùng ENGCHEM tìm hiểu thêm nhé.
I. Khái niệm hóa học của mono etanol amin
Mono ethanol amin, còn viết tắt là MEA hoặc ETA, là một hợp chất hữu cơ có cả amin chính và rượu chính giống như các amin khác, hoạt động như một điểm yếu, độc hại, dễ cháy và ăn được. ăn mòn, không màu, lỏng, đặc biệt có mùi tương tự như amoniac.
Mono etanol amin thường được gọi là MEA để phân biệt với dietanol amin DEA và trietanol amin TEA. MEA là một nhóm chất được tìm thấy trong màng sinh học và cũng được sử dụng trong các chất truyền tin phân tử như palmitoyl ethanol amin, tác động lên thụ thể CB1.

MEA là chất lỏng không màu, dễ cháy, ăn mòn, có mùi tương tự amoniac
1. Tính chất vật lý của MEA
– Ngoại quan: Chất lỏng không màu, có mùi amoniac
– Khối lượng phân tử: 61,084 g mol-1
– Tỷ trọng mono etanol amin: 1,0117g/cm3
– Mùi hương: MEA có mùi khó chịu tương tự mùi amoniac
– Điểm nóng chảy: 10,3 độ C
– Nhiệt độ sôi của hóa chất MEA: Khoảng 170 -172 độ C
– Khả năng hòa tan trong nước của MEA tốt và hoàn toàn
– Áp suất hơi: 64 Pa là 20 độ C
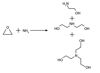
2. Phương pháp điều chế Mono etanol amin
Mono etanol amin được sản xuất bằng cách cho nó phản ứng với dung dịch amoniac, chất này cũng được sử dụng để sản xuất DEA dietanolamine và TEA Trietanolamine. Tỷ lệ sản phẩm có thể được kiểm soát bằng cách thay đổi tỷ lệ tương tác phản ứng.

Phương trình phản ứng điều chế mono etanol amin
II. Ứng dụng dung môi MEA trong đời sống và sản xuất
– Trong bột giặt: Các amit béo của mono etanol amin được dùng làm nguyên liệu trong bột giặt, có tác dụng hòa tan bột, ổn định bọt và hòa tan dầu mỡ, dùng làm nguyên liệu trong nước rửa chén và các chất tẩy rửa đặc biệt.
– Trong lọc khí: Là chất hấp thụ các chất khi có dư axit nên dùng để lọc khí
– MEA trong sản xuất mỹ phẩm: Được sử dụng để chuẩn bị và sử dụng làm chất làm đặc trong dầu gội, nước thơm, kem cạo râu, kem tẩy trắng và mỹ phẩm
– Trong công nghệ dệt nhuộm: Bởi vì mono ethanol amin có đặc tính hút ẩm và nhũ hóa nên nó được sử dụng làm chất làm mềm và làm dẻo trong dệt may. Muối hydrochloric của MEA được sử dụng làm chất xúc tác trong quá trình xử lý nhựa và sợi carbon.
– Được sử dụng trong sản xuất chất đánh bóng và sơn: Xà phòng MEA được sử dụng làm chất nhũ hóa và chất phân tán cho nhiều loại sơn. Ngoài ra, chất đánh bóng còn được sử dụng cho sàn gỗ, gốm sứ, kính, đồ gia dụng…
– Chất kết dính nóng chảy tinh bột nông nghiệp: Nó là chất trung hòa, thuốc trừ sâu và chất kích thích tăng trưởng thực vật
– Làm chất tẩy sơn: Giúp tăng khả năng ngâm của chất tẩy rửa, giúp tẩy sơn dễ dàng hơn
– Trong xi măng và bê tông: MEA là chất trợ nghiền, chất khử nước và chất làm đặc
– Ức chế ăn mòn: Mono ethanol amin ức chế sự ăn mòn của nhôm và kim loại màu.

Dung môi MEA được sử dụng rộng rãi trong đời sống và sản xuất
Một số ứng dụng khác của mono etanol amin
– MEA được sử dụng trong dung dịch nước để tẩy một số loại khí có tính axit.
– Dòng khí cọ rửa: Dung dịch Mono etanol amin được sử dụng làm dòng khí cọ rửa khi cọ rửa chất lỏng trong quá trình khử amin. Có thể hiểu như sau: MEA lỏng được dùng để loại bỏ khỏi khí thải. Với dung dịch nước, có thể hòa tan một số loại khí nhất định khỏi dòng khí hỗn hợp. Amin Mono etanol trong dung dịch này trung hòa các hợp chất axit hòa tan trong dung dịch để chuyển các phân tử thành ion, làm cho chúng phân cực và hòa tan trong dung dịch MEA lạnh, sau đó bẫy khí. Điều này hòa tan.
– Kiểm soát pH amin: Mono etanol amin được sử dụng phổ biến để kiềm hóa nước trong chu trình hơi nước của các nhà máy điện, trong đó có nhà máy điện hạt nhân có lò phản ứng nước điều áp. MEA được chọn vì nó không tích tụ trong bộ tạo hơi nước và các đường nứt do sự dao động của nó mà thay vào đó phân phối tương đối đồng đều trong toàn bộ chu trình hơi nước. Trong ứng dụng này, nó là một thành phần quan trọng của quá trình xử lý nước dễ bay hơi.

III. Bảo quản và sử dụng mono ethanol amin hiệu quả
– Hóa chất MEA cần được bảo quản ở nơi khô ráo, thoáng mát, tránh tiếp xúc trực tiếp với nhiệt độ cao.
– Nên đậy kín nắp để tránh hóa chất bị thất lạc hoặc bay hơi
– Tránh xa nguồn lửa, tia lửa điện,
– Để xa tầm tay trẻ em và không được uống
– Khi tiếp xúc với hóa chất mono ethanol amin cần sử dụng các thiết bị bảo hộ như: quần áo chống hóa chất, mặt nạ phòng độc hoặc khẩu trang chuyên dụng, găng tay, ủng…
IV. Mua hóa chất mono ethanol amin MEA ở đâu?

VietChem – đơn vị chuyên cung cấp hóa chất MEA mono ethanol amin
Hóa chất, dung môi là sản phẩm mang lại nhiều ứng dụng quan trọng trong công nghiệp. Nhưng nếu sử dụng không đúng cách hoặc mua phải hóa chất kém chất lượng có thể gây ra nhiều rủi ro khó lường. Vì vậy, bạn cần hết sức tỉnh táo trong việc lựa chọn nơi mua hóa chất.
Tự hào là một trong những đơn vị được nhiều khách hàng tin tưởng và lựa chọn mua hóa chất tại Trường Chu Văn An vì những lý do sau:
– Tất cả các sản phẩm hóa chất, dung môi đều được kiểm tra chất lượng đạt tiêu chuẩn trước khi bán cho khách hàng
– Đơn hàng nhanh chóng luôn được tư vấn và hỗ trợ bởi đội ngũ nhân viên nhiệt tình và đội ngũ kỹ thuật chuyên nghiệp có trình độ cao.
– Có giá cả cạnh tranh
– Luôn rõ ràng trong quy trình bán hàng và dịch vụ vận chuyển an toàn tới khách hàng
Nếu bạn có nhu cầu mua hóa chất mono ethanol amin và các hóa chất công nghiệp khác hãy liên hệ ngay với chúng tôi theo số HOTLINE 0826 010 010 hoặc truy cập website vietchem.com.vn để nhận được sự tư vấn và thông tin từ đội ngũ chúng tôi. giá nhanh nhất.
Hy vọng những thông tin trên đã giúp bạn đọc hiểu rõ hơn về mono ethanol amin là gì, tính chất vật lý và ứng dụng của dung môi này. Hãy cùng theo dõi vietchem để hiểu và biết thêm nhiều loại hóa chất hay nhé.

Nội dung được phát triển bởi đội ngũ truongchuvananhue.edu.vn với mục đích chia sẻ và tăng trải nghiệm khách hàng. Mọi ý kiến đóng góp xin vui lòng liên hệ tổng đài chăm sóc: 1900 0000 hoặc email: hotro@truongchuvananhue.edu.vn