Nội dung bài viết
Borax (còn gọi là natri borat) là một hợp chất hóa học có công thức Na2B4O7.10H2O. Hợp chất này có một số ứng dụng quan trọng trong nhiều ngành công nghiệp như mỹ phẩm, thực phẩm, gạch ngói… Vậy chính xác nó là gì? Nó có tác dụng gì không? Nó có gây nguy hiểm gì không? Để tìm hiểu về vấn đề này chúng ta cùng nhau tìm hiểu qua bài viết dưới đây nhé.
1. Borax là gì?
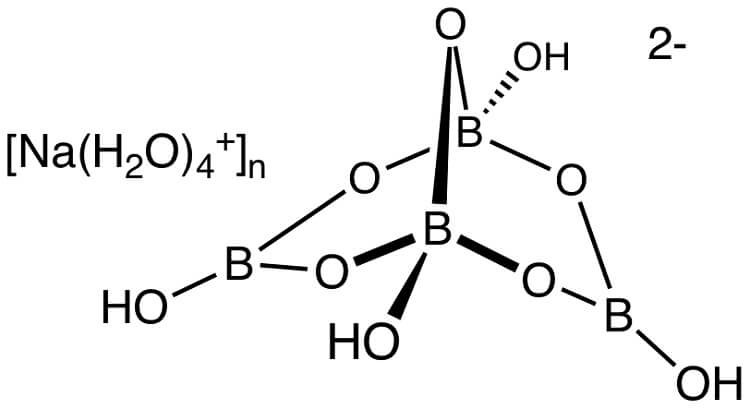
Công thức hóa học của borax là Na2[B4O5(OH)4].8H2O. Nó cũng có thể được viết là Na2B4O7.10H2O. Tên IUPAC của borax là natri tetraborat decahydrat. Tuy nhiên, hợp chất này còn được gọi đơn giản là natri tetraborat hoặc dinatri tetraborat.
2. Tính chất của hàn the
- Trong điều kiện bình thường, borax dạng bột có màu trắng, gồm các tinh thể mềm không màu, dễ tan trong nước.
- Khối lượng mol của borax khan là 201,22 gram mỗi mol. Dạng decahydrat của borax có khối lượng mol là 381,38 gam mỗi mol.
- Dạng borax khan có mật độ 2,4 gram/cm3. Mật độ của decahydrate là 1,73 gam/cm3.
- Điểm nóng chảy và sôi của borax khan lần lượt là 743 độ C và 1575 độ C.

Công thức cấu tạo của borax
3. Tác dụng của hàn the là gì?
Borax được sử dụng trong nhiều ngành công nghiệp khác nhau như sau:
3.1. Trong công nghiệp
– Được sử dụng trong nhiếp ảnh như một chất kiềm.
– Dùng làm chất trợ chảy trong một số quá trình luyện kim.
– Đóng vai trò là chất liên kết ngang trong quá trình điều chế chất nhờn.
– Lĩnh vực hóa sinh được biết đến với việc sử dụng rộng rãi hàn the để sản xuất dung dịch đệm.
– Borax còn được dùng làm tấm chắn bắt neutron để bảo quản, vận chuyển và sử dụng an toàn các chất phóng xạ.
– Borax có khả năng hoạt động như chất chống cháy.
3.2. Trong chế biến thực phẩm
Trong một số kỹ thuật nấu ăn, hợp chất này được biết đến như một chất tạo kết cấu, sát trùng nhẹ và kéo dài thời hạn sử dụng của thực phẩm. Vì vậy, nó thường được thêm vào các nguyên liệu để sản xuất bún, phở, bún, bánh cuốn, thạch… để tăng độ dai, giòn cho sản phẩm.

Borax được sử dụng trong các thực phẩm như bún, xúc xích để tăng độ dai, giòn
3.3. Trong ngành mỹ phẩm
Một số sản phẩm mỹ phẩm, men và chất tẩy rửa được biết là có chứa hàn the.
3.4. Loại bỏ độ cứng của nước
Dung dịch nước borax có thể được đưa vào nước cứng nhằm mục đích làm mềm nước. Các ion canxi (Ca2+) hoặc magie (Mg2+) có trong nước cứng được thay thế bằng các ion natri. Do đó, độ cứng của nước được loại bỏ. Các phương trình hóa học cho các phản ứng này được cung cấp dưới đây.
Na2B4O7 + Mg2+ → 2Na+ + MgB4O7
Na2B4O7 + Ca2+ → 2Na+ + CaB4O7
3.5. Trong nông nghiệp
– Là tiền thân của một số hợp chất thương mại quan trọng của boron, trong đó đáng chú ý nhất là axit boric (được sử dụng rộng rãi làm thuốc trừ sâu).
Borax còn được biết là có tác dụng như một chất chống nấm và do đó có thể được sử dụng để tiêu diệt nấm hoặc ức chế sự phát triển của chúng.
Borax cũng có thể được sử dụng để khắc phục tình trạng đất thiếu boron. Nó làm như vậy bằng cách hoạt động như một loại phân bón vi chất dinh dưỡng.
3.6. Trong y học
Borax có thể điều trị một số bệnh sau:
– Trị nấm chân bằng cách ngâm chân trong nước hàn the để diệt nấm.
– Là thành phần của một số loại vitamin bổ sung có bán trên thị trường.
– Điều trị bệnh tưa miệng – một bệnh nhiễm trùng do vi khuẩn rất phổ biến xảy ra trên móng ngựa.
4. Borax có thực sự nguy hiểm không?
Hàn có thể gây ngộ độc cấp tính chỉ với liều lượng từ 5g trở lên, đặc biệt đối với trẻ nhỏ. Ngoài ra, sử dụng một lượng nhỏ trong thời gian dài có thể gây ngộ độc mãn tính với nhiều ảnh hưởng xấu đến cơ thể.
Sử dụng một lượng lớn borax được cho là có một số ảnh hưởng tiêu cực đến sức khỏe như:
– Kích ứng da và mắt: Nếu hít phải hoặc tiếp xúc với borax có thể gây phát ban, kích ứng, nôn mửa…
– Gây đau bụng, tiêu chảy: Ở người có hệ tiêu hóa yếu có thể gây đau bụng, tiêu chảy, nôn mửa, tích tụ lâu ngày gây hại cho gan.
– Thay đổi nội tiết tố: Tiếp xúc quá nhiều với borax có thể làm rối loạn nội tiết tố tốt của cơ thể, làm giảm khả năng sinh sản của nam giới, giảm ham muốn tình dục và giảm số lượng tinh trùng. Phụ nữ mang thai sử dụng borax có thể ảnh hưởng đến sự phát triển của thai nhi và khiến trẻ sinh ra nhẹ cân.
– Tử vong: Trẻ ăn từ 5-10g borax có thể bị nôn mửa, tiêu chảy và tử vong.

Dùng borax (bột borax) có độc không?
5. Làm thế nào để nhận biết thực phẩm có borax hay không?
Có cách nhận biết thực phẩm có borax hay không như sau:
– Dùng tăm bông ngâm nghệ: khi có borax, tăm bông chuyển từ màu vàng sang màu đỏ vì borax là muối có tính kiềm.
– Bằng mắt: nhìn vào các thực phẩm như xúc xích, lạp xưởng… nếu không có hàn the sẽ có nhiều lỗ khí trên bề mặt và có màu trắng hồng.
– Qua mũi: Thực phẩm không chứa hàn the thường có mùi thơm tự nhiên.
Trên đây là thông tin về borax. Nếu có thắc mắc, vui lòng đọc thêm các bài viết khác trên website vietchem.com.vn hoặc liên hệ với chúng tôi qua đường dây nóng 0826 010 010 để được giải đáp thắc mắc của bạn.
Hiện nay Trường Chu Văn An đang phân phối sản phẩm Borax pentahydrate (Borax) Na2B4O7.5H2O 99%, xuất xứ từ Argentina, 25kg/bao. Quý khách hàng có nhu cầu mua sản phẩm hãy nhanh tay liên hệ với chúng tôi để mua được sản phẩm với giá ưu đãi và nhiều khuyến mãi hấp dẫn.

Nội dung được phát triển bởi đội ngũ truongchuvananhue.edu.vn với mục đích chia sẻ và tăng trải nghiệm khách hàng. Mọi ý kiến đóng góp xin vui lòng liên hệ tổng đài chăm sóc: 1900 0000 hoặc email: hotro@truongchuvananhue.edu.vn