Nội dung bài viết
Sucrose là cái tên rất quen thuộc với mọi người. Đó là một loại đường được con người hấp thụ vào cơ thể hàng ngày thông qua thức ăn, đồ uống. Vậy sucrose là gì? Chúng có những tính chất vật lý và hóa học điển hình nào và chúng có những ứng dụng cụ thể nào trong thực tế? Trong bài viết này vietchem sẽ giúp giải đáp mọi thắc mắc của các bạn, mời các bạn cùng theo dõi nhé!
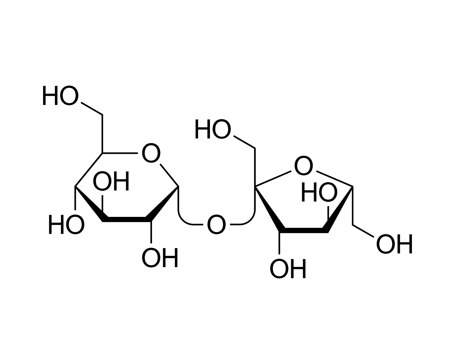
1. Đường sucrose là gì?
sucrose là gì? Chúng còn được gọi là sucrose, đây là một loại đường được tách chủ yếu từ mía hoặc củ cải đường, sau đó được tinh chế và kết tinh, có vai trò cung cấp năng lượng cho cơ thể, có nhiều trong mía, mật ong, củ cải đường, cọ. đường thốt nốt, một số loại trái cây.

sucrose là gì?
2. Có thể bạn chưa biết tính chất lý hóa của sucrose
2.1 Tính chất vật lý của sucrose
| Trạng thái | Bột kết tinh màu trắng, không mùi, vị ngọt dễ chịu, tan nhiều trong nước |
| Công thức | C12H22O11 |
| Độ nhớt đột ngột | tăng khi nồng độ tăng và giảm khi nhiệt độ tăng |
| Khối lượng phân tử | 342,3 g/mol |
| điểm nóng chảy | 186°C |
| Khối lượng mol | 342,29648 g/mol |
| Độ hòa tan trong nước | 211,5 g/100 ml (20°C) |
| khối lượng cụ thể | 1,587 g/cm³ |

Tính chất vật lý của sucrose
2.2 Tính chất hóa học của sucrose là gì?
- Sucrose là một hóa chất thực nghiệm nổi bật, không có tính khử, chỉ có tính chất của rượu đa chức và có phản ứng thủy phân disacarit.
- Phản ứng với Cu(OH)2
Kết tủa Cu(OH)2 hòa tan trong dung dịch sucrose sẽ tạo thành dung dịch màu xanh lam gọi là phức hợp đồng-saccharose hòa tan. Với phương trình phản ứng sau:
2C12H22O11 + Cu(OH)2 → (C12H21O11)2Cu + 2H2O
- Phản ứng thủy phân
Mặc dù dung dịch sucrose không có tính khử nhưng khi đun nóng với axit sẽ tạo thành dung dịch khử vì bị thủy phân thành glucose và fructose.
C12H22O11 + H2O → C6H12O6 + C6H12O6

Tính chất hóa học của sucrose
2. Vai trò quan trọng của sucrose
Tại sao sucrose được sử dụng nhiều như vậy? Dưới đây là những vai trò quan trọng của họ:
2.1 Sucrose giúp cung cấp năng lượng cho cơ thể
-
Vai trò nổi bật nhất của sucrose cần lưu ý là cung cấp năng lượng với 3,94 kilocalories/gram (hoặc 17 kilojoules/gram).
-
Mỗi khi mệt mỏi, căng thẳng hay đói bụng, bạn nên bổ sung những thực phẩm có chứa đường sucrose, sẽ cung cấp năng lượng tốt cho tế bào, giúp cơ thể phục hồi nhanh chóng.

Sucrose giúp cung cấp năng lượng cho cơ thể
2.2 Não cần sucrose để hoạt động
-
Sucrose khá dễ tiêu hóa, là nguồn cung cấp năng lượng nhanh chóng cho cơ thể.
-
Ngoài ra, glucose là nhiên liệu cần thiết để não hoạt động, kích thích tuyến tụy sản xuất insulin, giúp não nhận biết và kiểm soát lượng thức ăn tiêu thụ, tránh béo phì.
2.3 Chúng tạo ra năng lượng dự trữ cho cơ thể
Sucrose giúp tăng lượng đường trong máu. Nguồn năng lượng này sẽ được sử dụng khi cơ thể cần một lượng lớn glucose ngay lập tức, chẳng hạn như khi tham gia các hoạt động thể thao cường độ cao trong thời gian ngắn.
2.4 Rất quan trọng đối với sự phát triển của trẻ
Trẻ sơ sinh chủ yếu hấp thụ lượng calo chuyển hóa từ đường lactose trong sữa mẹ, tuy nhiên sau 6 tháng tuổi, trẻ cần bổ sung lượng calo chuyển hóa từ đường sucrose từ các thực phẩm khác như ngũ cốc, hoa quả…
Lưu ý: Bạn cần chú ý vì sucrose là một trong những nguyên nhân gây sâu răng vì nó tạo ra độ pH lý tưởng cho vi khuẩn trong miệng phát triển nên cần sử dụng thực phẩm bổ sung cho trẻ một cách hợp lý. logic, khoa học.
2.5 Tốt cho bà bầu như thế nào?
Sucrose đóng vai trò quan trọng trong việc giúp bà bầu tăng cường năng lượng và duy trì sức khỏe trong thai kỳ. Tuy nhiên, việc bổ sung cần phải hợp lý vì dễ gây thừa cân, và nếu mắc bệnh tiểu đường thai kỳ, bạn cần hạn chế ăn sucrose và các thực phẩm chứa nhiều đường.
3. Những lưu ý khi sử dụng sucrose
Để sử dụng đường sucrose có hiệu quả, mỗi chúng ta cần chú ý sử dụng đúng cách như sau:
- Sucrose không phải là thành phần cần thiết trong chế độ ăn kiêng; nó được thêm vào để làm cho thức ăn ngon hơn.
- Sử dụng quá nhiều sucrose có thể gây phá hủy men răng, gây sâu răng.
- Quá trình tiêu hóa nhanh sucrose làm tăng lượng đường trong máu và cũng có thể gây ra vấn đề cho những người bị khiếm khuyết trong chuyển hóa glucose.
- Sữa công thức có lactose được thay thế bằng sucrose sẽ không thực sự có lợi về mặt dinh dưỡng.
- Vì vậy, mặc dù đường sucrose có nhiều công dụng trong việc cung cấp năng lượng cho cơ thể nhưng bạn không nên lạm dụng vì sẽ gây béo phì, tăng lượng đường trong máu và dẫn đến nguy cơ mắc bệnh. sự nguy hiểm. Hãy thêm nó vào chế độ ăn uống của bạn một cách thích hợp.

Những lưu ý khi sử dụng sucrose
sucrose là gì? Những tính chất, ứng dụng và những lưu ý cần thiết khi sử dụng hy vọng sẽ được giải đáp qua bài viết trên. Đừng quên thường xuyên theo dõi VietChem Chemicals để cập nhật thêm nhiều kiến thức hữu ích nhé.
=>> XEM THÊM:
- Khử trùng và thanh trùng là gì? Thông tin quan trọng cần biết

Nội dung được phát triển bởi đội ngũ truongchuvananhue.edu.vn với mục đích chia sẻ và tăng trải nghiệm khách hàng. Mọi ý kiến đóng góp xin vui lòng liên hệ tổng đài chăm sóc: 1900 0000 hoặc email: hotro@truongchuvananhue.edu.vn