Nội dung bài viết
Dây điện lớn có gây lãng phí điện không? Đây là vấn đề thường gặp trong quá trình lựa chọn và sử dụng dây cáp, bởi nhiều người Việt cho rằng dây nhỏ “có vẻ” tiết kiệm điện hơn. Chúng tôi sẽ giúp bạn trả lời câu hỏi này từ góc độ kỹ thuật điện.
Nguyên nhân chính gây mất điện
Điện trở dây dẫn là nguyên nhân chính gây mất điện. Khi dòng điện chạy liên tục trong dây dẫn, hiệu ứng Joule sinh ra trong dây dẫn sẽ chuyển một phần năng lượng thành nhiệt, khiến điện áp đường dây giảm xuống và làm giảm hiệu suất truyền tải điện. Tổn thất điện năng tỷ lệ thuận với điện trở và bình phương dòng điện.

Công thức tính tổn thất điện năng như sau:

Ở đó:
- Php: Công suất tổn thất điện năng (W)
- I: cường độ dòng điện (A)
- U: chênh lệch điện áp (V)
- R: Điện trở dây dẫn (Ω)
- cosφ: hệ số công suất, thường là 0,8
Điện năng tiêu thụ bởi dây lớn

Tại sao lại có câu hỏi liệu dây điện lớn có gây lãng phí điện không?
Trên thực tế, ý tưởng “lãng phí dây dẫn lớn” xuất phát từ sự nhầm lẫn về mức độ sử dụng điện năng của dây dẫn lớn và các thiết bị công suất cao. Vì vậy, trong hệ thống điện dân dụng, dây dẫn dày thường được nối với máy nước nóng, điều hòa, tủ lạnh, bếp từ… Nguyên nhân gây lãng phí điện là do các thiết bị này chứ không phải dây dẫn.
Ngoài ra, dây lớn cho cảm giác nặng và dày đặc nên nhiều người cho rằng những dây này tiêu thụ điện năng nhiều hơn dây nhỏ.
Tương quan giữa tiết diện dây và mức tổn thất điện năng
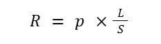
Điện trở tỉ lệ nghịch với tiết diện và chiều dài của dây theo công thức sau:

Ở đó:
- ρ: Điện trở suất của vật liệu (đồng hoặc nhôm) (Ω)
- L: chiều dài dây dẫn (mét)
- S: Tiết diện dây dẫn (mm2)
Do đó, dây càng lớn thì điện trở càng thấp và tổn thất điện năng trên đường truyền đường dài càng thấp. Theo đó, dây dày hơn sẽ tiêu thụ ít điện năng hơn dây mỏng hơn.
Khi nào bạn nên sử dụng dây dày hơn?

Việc lựa chọn tiết diện dây phụ thuộc vào giá trị cường độ dòng điện, công suất tiêu thụ của thiết bị và chiều dài của đường dây. Dưới đây là các tình huống ưu tiên sử dụng dây lớn:
- Vận chuyển điện đường dài: > 30m
- Kết nối cho các thiết bị dung lượng cao: Lò điện, máy nước nóng, điều hòa, động cơ
- hệ thống điện ba pha của các nhà máy, doanh nghiệp
Khi tải nhỏ và khoảng cách lắp đặt ngắn thì không nên chọn dây dày để tránh lãng phí chi phí đầu tư và không đạt được hiệu suất truyền tải cao hơn. Cũng không nên chọn dây quá mỏng, nếu không sẽ dễ gây quá tải, nóng chảy dây, tụt điện áp khiến thiết bị không hoạt động bình thường và gây mất điện.
Việc lựa chọn tiết diện dây phù hợp với tải giúp tối ưu hóa hiệu suất truyền tải điện, tiết kiệm điện năng và chi phí đầu tư.
Cách giảm tổn thất điện năng trên đường dây truyền tải dài

Theo công thức tính tổn thất điện năng trên, tổn thất điện năng trên đường dây truyền tải có thể được giảm theo ba cách sau, qua đó gián tiếp tiết kiệm năng lượng điện.
Giá trị điện trở thấp hơn
- Giảm điện trở của dây dẫn: Các kim loại có điện trở suất thấp nhưng độ dẫn điện cao được sử dụng làm vật liệu để tạo thành lõi dẫn điện như bạc, vàng…, nhưng phương pháp này quá tốn kém và ít khả thi.
- Tăng tiết diện dây dẫn: Tiết diện dây càng lớn thì tổn thất điện năng truyền tải đường dài càng thấp. Tuy nhiên, dây càng lớn thì trọng lượng của dây càng tăng, gây áp lực lên hệ thống cột đứng và giá đỡ.
tăng giá trị điện áp
Khi điện áp tăng n lần thì tổn thất điện năng sẽ giảm bình phương n lần. Phương pháp này được đánh giá là hiệu quả và khả thi hơn so với việc giảm điện trở của dây dẫn nhưng lại đòi hỏi phải sử dụng bộ tăng áp ở đầu nguồn điện.
Cải thiện hệ số công suất
Để tăng hệ số cosφ một cách giả tạo, có thể sử dụng tụ điện hoặc bộ lọc sóng hài AHF. Hệ số công suất càng cao thì tổn thất điện áp càng ít. Hạn chế của phương pháp này là chi phí lắp đặt khá tốn kém.
Câu hỏi thường gặp về Dây dày có tốn điện không?
Câu 1: Dây điện lớn có lợi ích gì?
hồi đáp: Dây dẫn lớn giúp tăng khả năng truyền tải điện và giảm tổn thất điện năng trên đường dây. Nhưng dây lớn cần phải phù hợp với tải, nếu không sẽ dẫn đến lãng phí và dư thừa.
Câu hỏi 2: Những hiểu lầm khi chọn dây lớn là gì?
hồi đáp: Nhiều người cho rằng dây lớn hơn tốt hơn dây nhỏ nên họ có xu hướng chọn một mặt cắt dây cho toàn bộ hệ thống điện trong nhà. Điều này không chỉ gây lãng phí chi phí đầu tư mà còn hạn chế tính linh hoạt của đường dây điện sơ cấp và thứ cấp, gây khó khăn cho việc sửa chữa, bảo trì.
Ngoài ra, khi lựa chọn dây cỡ lớn lưu hành trên thị trường rất dễ gặp phải tình trạng vỏ dây lớn, lõi dây nhỏ, gây nguy hiểm khi sử dụng điện và mất an toàn hệ thống.
Dây dày hơn sẽ lãng phí điện? Câu trả lời ở đây là dây dẫn lớn không tiêu thụ điện năng mà giúp tiết kiệm điện năng bằng cách giảm tổn thất điện áp. Tuy nhiên, để đảm bảo hiệu suất truyền tải cũng như an toàn điện, dây dẫn cần có tiết diện phù hợp với tải. Bạn không nên chọn loại dây này cho tất cả các thiết bị điện vì kết luận là dây lớn giúp tiết kiệm điện.

Nội dung được phát triển bởi đội ngũ truongchuvananhue.edu.vn với mục đích chia sẻ và tăng trải nghiệm khách hàng. Mọi ý kiến đóng góp xin vui lòng liên hệ tổng đài chăm sóc: 1900 0000 hoặc email: hotro@truongchuvananhue.edu.vn