Nội dung bài viết
Dây 2.5 là loại dây thường thấy trong hệ thống điện gia đình nhưng không phải ai cũng biết dây 2.5 có thể mang được bao nhiêu watt? Để trả lời câu hỏi này hãy theo dõi bài viết dưới đây của chúng tôi.
Dòng 2,5 có nghĩa là gì?
Dây 2.5 là loại dây có tiết diện lõi là 2,5mm2. Loại dây này có tiết diện phổ biến nhất trong các hệ thống điện dân dụng và phù hợp với hầu hết các thiết bị gia dụng hiện đại.

2.5 Dây điện đốt nóng có những đặc điểm sau:
- kết cấu: Lõi dẫn điện có thể là đồng nguyên chất hoặc nhôm nguyên chất, đơn hoặc đa lõi, cách điện PVC hoặc XLPE.
- Điện trở hiện tại: 2.5 Một dây có thể mang bao nhiêu ampe? Trong điều kiện lắp đặt bình thường, câu trả lời thường nằm trong khoảng 20-25A.
- sức chống cự: Dây dưới 1,5mm2.
- tính linh hoạt: Dây 2,5mm đủ linh hoạt để dễ dàng uốn cong và định tuyến trong không gian hạn chế.
- Tiêu chuẩn an toàn: Dây 2,5 mm2 phải tuân theo tiêu chuẩn ISO 5935 (IEC 60227) đối với cáp điện bọc PVC hoặc tiêu chuẩn ISO 6610 (IEC 60502) đối với cáp điện bọc XLPE.
Dây 2,5 có thể mang được bao nhiêu watt?

Có hai cách trả lời câu hỏi này: dựa vào bảng tiết diện dây và tính toán dựa vào công thức.
Theo bảng tiết diện dây

Theo tiêu chuẩn IEC, giới hạn dòng điện cho dây 2,5mm2 là 15-20A. Tuy nhiên, ở Việt Nam giá trị này được mở rộng từ 20-25A, tương ứng với công suất tối đa trong khoảng 4400W đến 5500W ở điện áp 220V. Cụ thể:
| Loại dây dẫn | Dòng điện tối đa (A) | Khả năng chịu tải (W) |
| đồng | 25A | ~5.500W |
| dây nhôm | 20A | ~4.400W |
Trên thực tế, khả năng chịu tải của dây dẫn phụ thuộc vào nhiều yếu tố như nguồn điện, loại dây, số lượng lõi dây, môi trường lắp đặt và điều kiện lắp đặt. Ví dụ, khi lắp đặt dây 2,5 trong môi trường có nhiệt độ khắc nghiệt, cường độ dòng điện có thể giảm xuống 16-20A và công suất tương ứng chỉ khoảng 3500-4400W.
Theo công thức tính tải dây
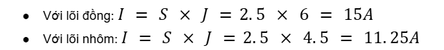
Tính cường độ dòng điện khi tiết diện dây dẫn là 2,5mm2 như sau:

Áp dụng công thức tính điện năng tiêu thụ của thiết bị, ta được giá trị tải của dây 2,5:
Nguồn điện một pha sử dụng lõi đồng:

Nguồn điện một pha sử dụng lõi nhôm:

Nguồn điện 3 pha sử dụng lõi đồng:

Nguồn điện 3 pha sử dụng lõi nhôm:

Bảng chịu lực của một số loại dây thông dụng được tính theo công thức:
| Loại dây | Loại dây dẫn | hệ thống | Khả năng chịu tải của dây
(W) |
| Dây 4.0 có thể mang được bao nhiêu watt? | lõi đồng | 1 pha | 5280 |
| lõi đồng | 3 giai đoạn | 9120 | |
| lõi nhôm | 1 pha | 3960 | |
| lõi nhôm | 3 giai đoạn | 6840 | |
| Dây 6.0 có thể mang được bao nhiêu watt? | lõi đồng | 1 pha | 7920 |
| lõi đồng | 3 giai đoạn | 13680 | |
| lõi nhôm | 1 pha | 5940 | |
| lõi nhôm | 3 giai đoạn | 10260 | |
| Dây 1,5 có thể mang được bao nhiêu watt? | lõi đồng | 1 pha | 1980 |
| lõi đồng | 3 giai đoạn | 3420 | |
| lõi nhôm | 1 pha | Thứ 1485 chương | |
| lõi nhôm | 3 giai đoạn | 2565 | |
| Một dây 0,75 có thể mang được bao nhiêu watt? | lõi đồng | 1 pha | 990 |
| lõi đồng | 3 giai đoạn | 1710 | |
| lõi nhôm | 1 pha | Thứ 743 chương | |
| lõi nhôm | 3 giai đoạn | Thứ 1283 chương |
Thiết bị này phù hợp với dây nguồn 2,5mm

Đây là loại dây thông dụng được sử dụng trong điện gia dụng và một số ứng dụng cụ thể của nó như sau.
- Hệ thống chiếu sáng: Công suất đèn gia dụng thường dưới 2kW nên đèn huỳnh quang, đèn ngủ, đèn chùm, đèn trần,… có thể chọn loại 2,5 dây.
- Ổ cắm điện: dùng cho quạt trần, tivi, tủ lạnh, máy giặt, máy sấy, máy tính và các thiết bị khác…
- Điều hòa công suất nhỏ: dưới 9000BTU (1HP).
- Hệ thống tự động: camera an ninh, báo cháy…
Tôi có một số câu hỏi, cáp 2,5 có thể mang được bao nhiêu watt điện?
Câu 1: Một dây 4.0 có thể mang được bao nhiêu ampe?
hồi đáp: Theo tiêu chuẩn IEC, dây 4.0 có thể chịu được tải 20-25 amps. Tuy nhiên, giá trị này có thể khác nhau tùy thuộc vào thương hiệu, ví dụ dây 4.0 của Cadivi có thể chịu tải từ 32 đến 40 amps.
Câu 2: Tải 10 dây có thể mang được bao nhiêu ampe?
hồi đáp: 10 dây có thể chịu tải tối đa 50 amps (theo IEC), tùy thuộc vào vật liệu lõi và điện áp nguồn.
Câu 3: Một dây 16mm2 chịu được bao nhiêu ampe?
hồi đáp: Trong điều kiện lý tưởng, dây 16mm2 có thể chịu tải từ 50A đến 65A.
Câu hỏi 4: Bếp từ, máy nước nóng có lắp dây 2,5mm được không?
hồi đáp: KHÔNG. Công suất của bếp từ, máy nước nóng gia dụng thường lớn hơn 4000W nên việc sử dụng dây số 2.5 rất dễ khiến dây dẫn bị nóng chảy, khiến áp suất tụt xuống. Nên thay thế bằng dây 4.0mm2 để khả năng chịu tải cao hơn.

Nội dung được phát triển bởi đội ngũ truongchuvananhue.edu.vn với mục đích chia sẻ và tăng trải nghiệm khách hàng. Mọi ý kiến đóng góp xin vui lòng liên hệ tổng đài chăm sóc: 1900 0000 hoặc email: hotro@truongchuvananhue.edu.vn