Nội dung bài viết
Sóng hài thường xuất hiện ở những khu vực có chất lượng điện năng kém khiến nhiều thiết bị điện nhạy cảm như tụ điện, biến tần nhanh chóng hỏng hóc và tiêu tốn lượng lớn năng lượng. Giải pháp cho tình trạng này là lắp đặt một lò phản ứng có khả năng lọc sóng hài giúp bảo vệ các thiết bị điện. Hãy cùng KTH ELECTRIC tìm hiểu định nghĩa, chức năng và công dụng của lò phản ứng lọc sóng hài.
Lò phản ứng lọc hài hòa là gì?
Trong lưới điện hạ áp hiện nay, có nhiều phụ tải phát ra sóng hài (điện áp cao hơn 50Hz) khi vận hành. Thành phần hài này làm thay đổi các thông số điện áp làm cho dòng điện không còn đặc tính ban đầu. Đặc biệt nếu xảy ra cộng hưởng hài bậc 5 250Hz và cộng hưởng hài bậc 7 350Hz sẽ rất có hại cho các linh kiện điện. Trong trường hợp này, lắp đặt cuộn kháng lọc sóng hài là giải pháp khắc phục tình trạng trên và giúp các thiết bị điện hoạt động bình thường (nguồn điện 3 pha 380V-50Hz).

Lò phản ứng lọc hài là một thiết bị điện tử được sử dụng để hạn chế và loại bỏ các thành phần hài trong dòng điện hoặc điện áp. Bằng cách cung cấp trở kháng cao cho các tần số hài, cuộn kháng lọc hài sẽ hạn chế dòng điện hoặc điện áp đi qua ở các tần số này, giúp bảo vệ thiết bị và cải thiện chất lượng điện cũng như tuổi thọ hệ thống.
Chức năng của cuộn dây điện trở
Chức năng chính của lò phản ứng lọc sóng hài là bảo vệ biến tần, tụ điện và thiết bị điện khỏi ảnh hưởng của sóng hài.
- Bảo vệ biến tần: Cuộn kháng đầu ra biến tần (DC) và cuộn kháng đầu vào biến tần (AC) là hai loại cuộn kháng được sử dụng trong bộ biến tần. Cuộn kháng giúp giảm dòng điện chạy qua biến tần, từ đó giúp biến tần chạy trơn tru ngay cả khi tốc độ hoặc tần số thay đổi.
- Bảo vệ tụ điện và các thiết bị điện: Tụ điện là thiết bị nhạy cảm và dễ bị hư hỏng do sóng hài. Lò phản ứng được sử dụng kết hợp với tụ điện để lọc các sóng hài cao hơn và bảo vệ tụ điện khỏi sự cộng hưởng sóng hài (gây quá điện áp, giãn nở tụ điện, nổ) và các thiết bị chuyển mạch.
KTH ELECTRIC hiện là đơn vị chuyên phân phối các sản phẩm cuộn dây điện trở của các thương hiệu nổi tiếng thế giới như: Nuintek, BTB Electric, Mikro, Epcos,.. Chúng tôi cam kết mang đến cho khách hàng những sản phẩm chính hãng 100%, nói không với hàng đã qua sử dụng và hàng giả, với mức giá tốt nhất thị trường và chính sách chiết khấu ưu đãi nhất cho các dòng sản phẩm.
Tham khảo một số dòng sản phẩm cuộn dây điện trở chính hãng được KTH ELECTRIC phân phối:
Cấu trúc lò phản ứng lọc hài hòa
Lò phản ứng lọc sóng hài bao gồm một cuộn dây đồng được quấn trên lõi sắt từ, trong đó số vòng dây, tiết diện dây và kích thước của lõi sắt từ tỷ lệ thuận với độ tự cảm trong lò phản ứng.
Lõi sắt có tác dụng tăng cường từ trường dòng điện của cuộn dây và thường ở dạng lõi đặc hoặc lõi lá.

Ngoài ra, lò phản ứng lọc sóng hài còn có hệ thống tản nhiệt, cầu chì và vỏ. Có thể phủ một lớp sơn ngâm dầu hoặc sơn cách điện giữa vỏ và cuộn dây để bảo vệ lò phản ứng.
Lò phản ứng có 4 thông số chính cần quan tâm, bao gồm:
- Điện áp hệ thống (Vrms): đơn vị Vs
- Dòng điện hệ thống (Arms): đơn vị Is
- Hệ số công suất: cos
- Các thành phần hài trong hệ thống điện: THD(v) hoặc THD(i)
Tìm hiểu thêm: Lò phản ứng biến tần là gì? Cấu trúc, vai trò và lựa chọn
Cuộn dây điện trở hoạt động như thế nào
Trong mạch điện xoay chiều, độ tự cảm tỉ lệ thuận với tần số dòng điện. Tần số càng cao thì độ tự cảm sẽ tăng dần, dẫn đến dòng điện chạy qua cuộn dây càng nhỏ. Lò phản ứng lúc này có tác dụng khử sóng hài cao hơn, giúp ổn định hệ thống điện.
Nguyên lý làm việc của lò phản ứng dựa trên nguyên tắc điện dung và điện kháng tỉ lệ nghịch với tần số dòng điện, còn độ tự cảm tỉ lệ thuận với tần số dòng điện. Khi dòng điện chứa thành phần hài bậc 5 và bậc 7, cuộn kháng sẽ mắc nối tiếp với tụ điện để lọc ra các sóng hài có hại.
Khi nào cần lắp đặt tụ điện cùng với lò phản ứng?
Khi sóng hài tồn tại trong hệ thống
Việc sử dụng các thiết bị điện có công suất lớn như biến tần, UPS, đèn LED, thang máy, máy tính,… trong các nhà máy, tòa nhà văn phòng hay khu công nghiệp là nguồn gây ra sóng hài – một dạng điện dư thừa làm méo dạng sóng hình sin lý tưởng của điện áp.

Tụ điện rất nhạy cảm với sóng hài. Nếu không có bộ lọc, sóng hài có thể ảnh hưởng xấu đến tụ điện, khiến tụ điện bị quá nhiệt, rút ngắn tuổi thọ, giãn nở, rò rỉ thậm chí gây cháy nổ. Nhiều nhà sản xuất tụ điện khuyến cáo khi tỷ lệ biến dạng sóng hài tổng điện áp THDu ≥ 3% thì tụ điện buộc phải sử dụng lò phản ứng lọc sóng hài để đảm bảo an toàn và độ bền cho thiết bị.
Khi có nguy cơ cộng hưởng sóng hài trong hệ thống
Sự kết hợp giữa tụ điện và cuộn cảm sẽ tạo thành mạch cộng hưởng LC. Nếu tần số cộng hưởng này trùng với sóng hài bậc nhất trong hệ thống sẽ gây ra hiện tượng cộng hưởng điện áp hoặc dòng điện, khiến dòng điện tăng đột ngột ở mức hài hòa, gây hư hỏng tụ điện, nổ cầu dao, nóng dây dẫn, nguy hiểm hơn và ảnh hưởng đến toàn bộ hệ thống điện.
Lò phản ứng tụ điện được lắp đặt trong trường hợp này có tác dụng di chuyển tần số cộng hưởng ra khỏi vùng hài nguy hiểm, do đó bảo vệ hệ thống khỏi tác động của cộng hưởng bên trong.
Khi sử dụng tụ điện có công suất lớn hoặc ghép song song nhiều tụ điện
Trong các hệ thống cần bù công suất lớn, các tụ điện có công suất từ 25kVAr trở lên thường được lắp đặt hoặc nhiều tụ điện nhỏ được mắc song song. Đóng nhiều tụ điện cùng lúc sẽ tạo ra dòng điện khởi động lớn (gấp 20-30 lần dòng điện định mức) trong thời gian ngắn.
Dòng khởi động lớn này sẽ gây ra các hiện tượng: sụt áp cục bộ, tụ điện nhanh chóng bị hỏng và các thiết bị khác bị ảnh hưởng. Vì vậy, cuộn kháng có tác dụng như một “lá chắn”, giúp hạn chế dòng khởi động và giúp tụ điện ở gần mạch điện an toàn hơn.
Khi bạn cần kéo dài tuổi thọ và ổn định hệ thống điện
Ngay cả trong các hệ thống không có sóng hài đáng kể, việc sử dụng tụ điện có điện trở lọc có thể giúp:
- Giảm tổn thất điện năng
- Giảm dòng điện tăng tức thời
- Giữ nhiệt độ hoạt động ổn định
- Kéo dài tuổi thọ tụ điện
- Cải thiện độ tin cậy của hệ thống tổng thể
Đây là giải pháp đầu tư ban đầu cao hơn nhưng mang lại hiệu quả hoạt động lâu dài vượt trội. Đặc biệt khi chất lượng điện năng ngày càng suy giảm do lắp đặt các thiết bị điện tử công suất, cuộn kháng lọc sóng hài dãy tụ điện là xu hướng bắt buộc trong mọi hệ thống an toàn, chuyên nghiệp.
Đọc thêm: Tổng hợp thông tin khởi động lò phản ứng
Phân loại lò phản ứng lọc sóng hài
Theo điện áp
- Lò phản ứng hạ thế: dùng trong hệ thống điện 440V-1000V, dùng trong các nhà máy điện, xí nghiệp, xí nghiệp,…
- Lò phản ứng trung thế: dùng trong hệ thống điện từ 1000V và dùng trong các nhà máy điện.
Theo năng lực
| kiểu | dung tích | Đánh giá hiện tại | ứng dụng |
| Công suất nhỏ | 1A-50A | Điện tử, UPS nhỏ, biến tần nhỏ | |
| công suất trung bình | 10-100kVA | 50A-300A | Biến tần công nghiệp, tụ điện |
| công suất lớn | 00kVA – 1MVA | 300A – 1000A | Nhà máy, máy phát điện năng lượng mặt trời, trạm biến tần |
| công suất tối đa | >1MVA | 1000A – 5000A | Lưới điện cao thế, công nghiệp nặng |
Theo hệ số phản kháng
| kiểu | Điện trở suất | Lọc sóng hài một cách hiệu quả | ứng dụng |
| lãi suất thấp | 1-3% | Trật tự hài hòa>17 | Biến tần nhỏ, UPS |
| tỷ lệ trung bình | 3%-7% | Hòa âm thứ 5, 7, 11 | Biến tần công nghiệp, tụ điện |
| tỷ lệ cao | 7%-15% | Hòa âm thứ 3, thứ 5, thứ 7 | Nhà máy, lò hồ quang điện |
| đặc biệt | >15% | Sóng hài thấp + ngắn mạch | Lưới điện cao thế, công nghiệp nặng |
Tìm hiểu thêm: Cuộn dây điện trở 6% là gì? Sự khác biệt giữa cuộn dây điện trở 7% và 14%
Theo cấu trúc
- Lò phản ứng không dầu: Cuộn dây bên trong lò phản ứng được quấn quanh lõi sắt và được phủ sơn cách điện
- Lò phản ứng ngâm dầu: Cuộn dây bên trong lò phản ứng được quấn quanh lõi sắt và ngâm trong dầu cách điện
khi nộp đơn
- Cuộn kháng bảo vệ biến tần: bao gồm cuộn kháng đầu vào (AC) và cuộn kháng đầu ra (DC), được sử dụng đặc biệt để bảo vệ biến tần.
- Lò phản ứng điện dung: Hạn chế tác hại của sóng hài cao hơn lên tụ điện.
- Ngoài ra còn có các cuộn kháng để bảo vệ rơle, contactor và một số thiết bị điện khác.

Cách tính toán và lựa chọn cuộn kháng chặn sóng hài
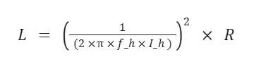
Sau khi hiểu 4 thông số chính của cuộn kháng, bạn có thể sử dụng công thức sau để tính giá trị của cuộn kháng đối với sóng hài h (L):

Ở đó:
- f_h là tần số sóng hài h (Hz)
- I_h là dòng điện hài h (A)
- R là điện trở tải (Ω)
Khi tính giá trị cuộn kháng, bạn cũng cần tính toán công suất tụ điện để chọn cuộn kháng có thể loại bỏ được nhiều sóng hài nhất theo công thức sau:

Ở đó:
- V_h là điện áp hài h (V)
Với 2 bước trên bạn sẽ chọn được biến tần và tụ điện có giá trị phù hợp dựa trên các giá trị đã tính toán trước đó.
Đọc thêm: Cách kiểm tra và chọn lò phản ứng dàn tụ điện
Cần lưu ý rằng trước khi chọn lò phản ứng, cần đo các sóng hài xuất hiện trong khu vực để xác định xem mức hài hòa của lò phản ứng được lắp đặt là 6%, 7%, 13%, 14% hay cao hơn. Ngoài ra, cuộn kháng được chọn cần phải tương thích với điện áp hệ thống dù là hạ thế hay trung thế. Hầu hết các lò phản ứng đều được trang bị dàn tụ điện nên điện kháng của tụ cũng cần phải tương thích với lò phản ứng là 5kVAr, 10kVAr, 20kVAr, 30kVAr trở lên.

Đặc biệt, việc lựa chọn cuộn dây điện trở từ các thương hiệu lớn không chỉ giúp bạn an tâm hơn trong quá trình sử dụng mà còn bảo vệ quyền lợi khách hàng với mức giá ưu đãi và chính sách hậu mãi hấp dẫn.

Nội dung được phát triển bởi đội ngũ truongchuvananhue.edu.vn với mục đích chia sẻ và tăng trải nghiệm khách hàng. Mọi ý kiến đóng góp xin vui lòng liên hệ tổng đài chăm sóc: 1900 0000 hoặc email: hotro@truongchuvananhue.edu.vn