Nội dung bài viết
Toluene là một trong những dung môi công nghiệp được sử dụng phổ biến trong các ngành công nghiệp như sản xuất sơn, nhựa tổng hợp, keo dán, chất tẩy rửa, dệt nhuộm,… Vậy Toluene là gì, có vai trò như thế nào? Vai trò quan trọng của nó trong thực tế là gì và chúng ta cần chú ý những gì để sử dụng hợp chất hóa học này một cách an toàn và hiệu quả? Trường Chu Văn An sẽ cùng bạn giải đáp những thắc mắc trên qua bài viết sau đây!

Dung môi Toluen là chất lỏng trong suốt, không màu, khúc xạ
1. Toluen là gì?
- Toluene hay còn gọi là methylbenzen hoặc phenylmethane, là chất lỏng trong suốt, không tan trong nước. Toluene là một hydrocarbon thơm được sử dụng làm dung môi trong công nghiệp. Với công thức hóa học của toluene là C7H8 (C6H5CH3).
- Nó là một hydrocacbon thơm, có khả năng tham gia phản ứng thế ái điện tử. Do có nhóm metyl nên hoạt tính hóa học của Toluene trong phản ứng này lớn hơn 25 lần so với benzen. Do vòng thơm khá ổn định nên cần áp suất cao khi tiến hành phản ứng hydro hóa toluene thành các loại methylcyclohexane.
- Ít tan trong nước, độ hòa tan trong nước ở 16 độ C là 0,047g/100ml và ở 150 độ C là 0,04g/100ml.
- Nó là một dung môi rất tốt để hòa tan chất béo, dầu, nhựa thông, lưu huỳnh và iốt. Ngoài ra, nó có thể trộn hoàn toàn với một số dung môi hữu cơ như xeton, rượu và este.
- Bản thân Toluene là một dung môi dễ cháy.
2. Tính chất hóa học của Toluen

=> Cùng tìm hiểu thêm về dung môi metanol
Toluene là một hợp chất thuộc dãy đồng đẳng của benzen nên có mùi thơm ngọt tương tự như benzen. Và do đó, tính chất hóa học của toluene tương tự như benzen:
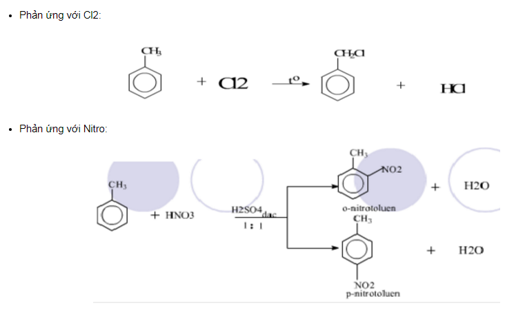
- Phản ứng với brom khan tạo thành brom toluen và axit HBr.
- Toluen phản ứng với khí clo tạo thành diclometan và axit HCl.
- Phản ứng với quá trình nitrat hóa tạo ra nitrotoluene và nước.
- Phản ứng cộng với H2 tạo ra metylcyclohexan.
- Phản ứng oxy hóa với nhóm metyl.
- Toluene tương đối dễ tham gia phản ứng thế, khó tham gia phản ứng cộng và ổn định với các chất oxy hóa. Đó là tính chất hóa học của toluene hay còn gọi là tính thơm (một tính chất hóa học đặc trưng của hydrocarbon).

3. Cách tinh chế dung môi Toluene
Toluene có thể được tinh chế bằng các hợp chất như CaCl2, CaH2, CaSO4, P2O5 hoặc Natri để tách nước. Ngoài ra, kỹ thuật chưng cất chân không cũng được sử dụng phổ biến. Trong kỹ thuật này, người ta thường sử dụng natri và benzophenone từ hồng cầu.
- Toluene còn nổi tiếng vì nó có thể điều chế TNT:
C7H8 + 3HNO3 -> C7H5(NO2)3 + H2O (xúc tác H2SO4 đậm đặc)
C6H6+ Cl2 -> C6H5Cl + HCl
C6H5Cl + CH3Cl + 2Na -> C7H8 + 2NaCl
- Các phương pháp khác:
C6H6 + CH3Cl -> C7H8 + HCl (xúc tác AlCl3)
4. Dung môi Toluene dùng để làm gì?
Toluene được biết đến là chất được sử dụng rộng rãi nhất trong đời sống con người. Các ứng dụng đặc biệt có thể bao gồm:
4.1. Hóa chất sơn bề mặt toluene
- Toluene hóa học công nghiệp được sử dụng chủ yếu trong các ứng dụng đòi hỏi độ bay hơi và độ hòa tan cao nhất, chẳng hạn như sản xuất nhựa tổng hợp.
- Toluene được sử dụng trong sơn ô tô, xe máy, làm chất tẩy rửa và sơn các đồ vật trong gia đình.
4.2. Toluene làm keo
Dùng làm chất tẩy rửa để sản xuất keo và các sản phẩm tương tự, dùng trong xi măng cao su và keo cao su nhờ khả năng hòa tan tốt.
4.3. Phụ gia nhiên liệu
Được sử dụng làm phụ gia nhiên liệu và làm chất cải thiện trị số octan trong xăng. Chỉ thêm một lượng tương đối nhỏ hóa chất toluene vào xăng sẽ làm tăng đáng kể chỉ số octan của nhiên liệu.
4.4. Các ứng dụng khác
- Dùng để điều chế thuốc nổ TNT và sản xuất thuốc nhuộm.
- Trong y học.
- Sản xuất nước hoa.
- Sản xuất mực in.
5. Một số lưu ý khi sử dụng hóa chất toluene

Dung môi công nghiệp Toluene thường rất dễ cháy với tốc độ bay hơi cao
5.1. Không tiếp xúc với cơ thể, đặc biệt là mắt
Bảo quản, sức khỏe, môi trường: Hóa chất toluene công nghiệp phải được bảo quản trong kho có mái che, tránh những nơi có nhiệt độ cao trên 50%, tránh những nơi dễ gây cháy nổ. Giữ sản phẩm tránh xa nguồn nhiệt, ngọn lửa và các chất dễ cháy.
Hãy nhớ rửa tay ngay lập tức khi dầu bắn vào mắt hoặc da bằng nhiều nước và xà phòng và để xa tầm tay trẻ em. Cẩn thận không tiếp xúc quá nhiều với hóa chất này, vì nó có thể gây ung thư và gây hại cho hệ thần kinh trung ương, mắt, kích ứng da và hệ hô hấp khi tiếp xúc trực tiếp.
5.2. Nguy cơ cháy nổ
Dung môi công nghiệp Toluene thường rất dễ cháy với tốc độ bay hơi cao. Ở nhiệt độ nhất định rất dễ gây cháy nổ, để lại hậu quả vô cùng nguy hiểm.
Đối với thùng phuy dùng để chứa dung môi toluene đã qua sử dụng nhưng còn sót lại thì khả năng gây cháy rất cao nếu áp suất không tăng khi hàn, cắt, gọt…
5.3. Cách khắc phục sự cố
Khi tiếp xúc, bạn nên sử dụng các biện pháp đảm bảo an toàn khi tiếp xúc như đeo khẩu trang, găng tay bảo hộ, đồ bảo hộ, kính mắt khi vận chuyển và sử dụng sản phẩm.
Để khắc phục những nguy hiểm trên, hãy dọn sạch mọi dung môi còn sót lại trong bình để bảo vệ an toàn hóa chất cho chính bạn và những người xung quanh. Nên sử dụng nước phun để làm sạch bề mặt, rửa sạch và hạn chế tối đa khả năng cháy nổ. Đừng lơ là hay chủ quan trong mọi tình huống.
6. Chọn sản phẩm hóa chất Toluene ở đâu để đảm bảo chất lượng?
Sản phẩm hóa chất Toluene được Công ty Cổ phần Xuất nhập khẩu Hóa chất và Thiết bị VietChem Kim Ngưu lựa chọn kỹ càng qua nhiều tiêu chuẩn chất lượng, nhà sản xuất uy tín có xuất xứ từ Hàn Quốc, Thái Lan. .. Được đóng gói trong thùng chứa và quy trình chất lượng đảm bảo quá trình vận chuyển hạn chế tối đa tình trạng đổ tràn sản phẩm và giữ được chất lượng ổn định trong suốt quá trình sử dụng.
VietChem luôn đặt lợi ích của khách hàng lên hàng đầu bằng sự yêu nghề và tận tâm với mọi khách hàng. Chúng tôi luôn nghiên cứu và cập nhật liên tục những sản phẩm chất lượng tốt, giá thành sản phẩm cạnh tranh, dịch vụ giao hàng nhanh, phân phối toàn quốc.
Hy vọng những thông tin trên giúp mọi người hiểu rõ hơn về hóa chất toluene, nắm được tính chất, ứng dụng của hóa chất đó. Nếu có thắc mắc vui lòng liên hệ HOTLINE 0826 010 010 để được tư vấn và đặt hàng trực tuyến tại website vietchem.com.vn.
Tham khảo Dung môi công nghiệp tại VietChem

Nội dung được phát triển bởi đội ngũ truongchuvananhue.edu.vn với mục đích chia sẻ và tăng trải nghiệm khách hàng. Mọi ý kiến đóng góp xin vui lòng liên hệ tổng đài chăm sóc: 1900 0000 hoặc email: hotro@truongchuvananhue.edu.vn