Nội dung bài viết
Biến tần làm thay đổi tần số của các thiết bị điện, giúp tăng năng suất, giảm chi phí bảo trì động cơ và tiết kiệm năng lượng. Vì vậy, thiết bị được sử dụng rộng rãi trong các lĩnh vực công nghiệp và dân dụng. Chúng ta cùng tìm hiểu cấu tạo, nguyên lý và ứng dụng của biến tần.
Biến tần là gì?
Biến tần là một thiết bị điện tử có thể chuyển đổi dòng điện một chiều hoặc xoay chiều thành dòng điện xoay chiều với tần số và điện áp có thể điều chỉnh được. Bằng cách thay đổi tần số dòng điện cấp vào cuộn dây bên trong động cơ, bộ biến tần có thể liên tục điều khiển tốc độ động cơ mà không cần hộp số cơ. Về cơ bản, biến tần là một thiết bị điều chỉnh nguồn điện.

Theo cấp điện áp, biến tần có thể được chia thành: 220V 1 pha, 220V 3 pha, 3 pha 380V… Ngoài các biến tần thông dụng còn có các biến tần chuyên dùng cho máy bơm nước, quạt, thang máy, cầu trục, hệ thống HVAC, hệ mặt trời…
Cấu trúc biến tần
Cấu tạo của từng loại biến tần sẽ khác nhau tùy theo ứng dụng và yêu cầu kỹ thuật của hệ thống điều khiển. Tuy nhiên, về cơ bản một biến tần sẽ bao gồm những bộ phận chính sau:
- Mạch nguồn: cấp nguồn cho toàn bộ biến tần
- Mạch điều khiển: Là trung tâm điều khiển của biến tần và có chức năng điều khiển, lập trình và bảo vệ.
- Mạch chuyển đổi tần số: Mạch chính của biến tần có chức năng chuyển đổi tần số dòng điện đầu vào 50Hz thành tần số dòng điện đầu ra có thể điều chỉnh từ 0~400Hz. Mạch bao gồm bộ chỉnh lưu, bộ lọc và biến tần IGBT.
- Mạch bảo vệ: bao gồm thiết bị bảo vệ quá tải, bảo vệ quá dòng, bảo vệ chống các sự cố về điện ảnh hưởng đến hoạt động của hệ thống.
- Bàn phím màn hình: được người vận hành sử dụng để theo dõi, cài đặt và điều khiển các hoạt động.

Ngoài ra, một số bộ biến tần còn tích hợp module truyền thông, cuộn kháng AC, cuộn kháng DC, điện trở hãm (điện trở phóng điện),…
Xem thêm: Cách nhận biết ký hiệu biến tần cơ bản nhất
Biến tần hoạt động như thế nào
Nguyên lý làm việc của biến tần trải qua 2 giai đoạn:
- giai đoạn đầu tiên: Biến tần nhận nguồn điện đầu vào từ nguồn điện (có thể là 1 pha hoặc 3 pha nhưng điện áp và tần số cố định, ví dụ 3 pha 220V 50Hz). Nguồn điện sau đó được chỉnh lưu và lọc thành nguồn điện một chiều phẳng. Bước này được thực hiện bằng bộ chỉnh lưu cầu diode và tụ điện.
- giai đoạn thứ hai: Điện áp một chiều sẽ được đảo ngược thành điện áp xoay chiều ba pha đối xứng. Bước này được thực hiện bởi bộ chuyển đổi IGBT (Transistor lưỡng cực có cổng cách điện) bằng phương pháp điều chế độ rộng xungPWM.

Tần số của tín hiệu đầu ra phụ thuộc vào tín hiệu điều khiển và các thông số được lập trình sẵn trong biến tần. Do đó, người vận hành có thể cài đặt sẵn các chế độ vận hành hoặc điều khiển trực tiếp.
Ngoài ra, trong quá trình vận hành, biến tần có thể phát hiện tình trạng quá tải, quá áp, sụt áp, mất pha và các vấn đề khác, đồng thời đưa ra cảnh báo lỗi nhỏ. Nếu phát hiện lỗi nghiêm trọng ảnh hưởng đến hệ thống, thiết bị sẽ ngừng cấp nguồn cho động cơ.
Lợi ích của việc sử dụng biến tần
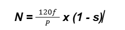
Ta có công thức tính tốc độ động cơ:

Có thể thấy từ công thức trên, tốc độ động cơ phụ thuộc vào 3 yếu tố và có 3 cách thay đổi tốc độ động cơ:
- Thay đổi số cực động cơ (P)
- Thay đổi hệ số trượt
- Thay đổi tần số của điện áp đầu vào (f)
Hai phương pháp đầu tiên khó thực hiện hơn và kết quả không tốt lắm. Phương pháp thứ ba được coi là hiệu quả nhất và biến tần là thiết bị tốt nhất để thay đổi tần số.

So với chi phí ban đầu, lợi ích mà biến tần mang lại cho hệ thống là rất lớn, đặc biệt đối với các hệ thống có kết cấu phức tạp hoặc hệ thống công nghiệp đặc thù. Giá trị mà biến tần mang lại cho nhà máy bao gồm:
- Kiểm soát tốc độ động cơ bằng cách điều chỉnh tần số đầu vào để tăng độ chính xác và tính linh hoạt của tốc độ máy và dây chuyền.
- Đảo ngược chiều quay của động cơ khi máy nằm ngoài phạm vi hoạt động hoặc gặp sự cố.
- Bảo vệ động cơ trong các trường hợp quá tải, quá áp, sụt áp, mất pha,… Tạo hệ thống an toàn trong quá trình vận hành.
- So với phương pháp khởi động trực tiếp và phương pháp khởi động sao-tam giác, dòng khởi động được giảm thiểu và hạn chế sụt áp hoặc khó khởi động.
- Nhờ mô-đun giao tiếp được tích hợp trong biến tần, hỗ trợ điều khiển và giám sát động cơ từ xa.
- Hạn chế việc khởi động đột ngột của động cơ mang tải lớn, tránh hư hỏng các bộ phận cơ khí và vòng bi, kéo dài tuổi thọ động cơ, giảm chi phí bảo trì.
- So với hoạt động trực tiếp của động cơ, mức tiết kiệm năng lượng lên tới 40%.
- Giảm thiểu công suất phản kháng của động cơ, từ đó giảm chi phí lắp đặt tụ điện và giảm thiểu tổn thất điện năng trên đường dây.
- Giảm tiếng ồn và độ rung của động cơ, cải thiện môi trường làm việc và sức khỏe người lao động.
Xem thêm: Kinh nghiệm lựa chọn bộ biến tần hiệu suất cao cho động cơ
Ứng dụng biến tần
thiết bị điện tử
Các thiết bị điện tử được sử dụng trong gia đình hiện nay như tủ lạnh, điều hòa, máy giặt,… đều sử dụng bộ biến tần (hoặc bộ biến tần) để nâng cao hiệu quả sử dụng năng lượng. Ngoài ra, một số thiết bị có công suất nhỏ (vài watt đến hàng chục watt) như chấn lưu điện tử cho đèn huỳnh quang, đèn compact hay bộ nguồn ống huỳnh quang (CCFL) cũng được trang bị bộ biến tần.
thiết bị điện
Biến tần đang dần trở thành thiết bị không thể thiếu trong các nhà máy điện sử dụng năng lượng tái tạo như phát điện mặt trời, phát điện gió, phát điện thủy triều. Chúng có chức năng biến đổi các nguồn điện trên thành dòng điện xoay chiều công nghiệp và tích hợp vào lưới điện.

Dòng điện ban đầu được đặc trưng bởi công suất và điện áp không ổn định. Để kết nối với lưới điện công nghiệp, một bộ biến tần với hệ thống pin sạc được sử dụng làm bộ đệm, chuyển đổi thành nguồn điện ba pha tiêu chuẩn. Bộ nghịch lưu hòa lưới cần có hệ thống điều khiển xung, pha, điện áp để đáp ứng việc truyền tải năng lượng lên lưới.
Bộ biến tần DC dùng cho hệ thống điện mặt trời áp mái thường có công suất vài kilowatt và có thể chuyển đổi sang điện áp xoay chiều AC 220V hoặc AC 110V, 1 pha hoặc 3 pha. Đồng thời, bộ biến tần năng lượng mặt trời và năng lượng gió chuyển đổi nguồn điện sơ cấp thành nguồn điện ba pha đồng bộ với lưới điện, có công suất lên tới vài megawatt.
cung cấp điện liên tục
UPS hay hệ thống cấp điện liên tục, bộ lưu trữ điện dự phòng cho hệ thống máy tính được coi là một bộ biến tần đặc biệt. UPS chuyển đổi nguồn điện từ pin sạc thành nguồn điện xoay chiều cho hệ thống và khởi động khi mất điện. Tùy thuộc vào loại pin được sử dụng, dòng điện xoay chiều đầu ra của UPS có thể không có dạng hình sin, có thể không ổn định và có thể cung cấp điện trong một khoảng thời gian giới hạn.
trong công nghiệp

- Hệ thống cấp nước tòa nhà cao tầng
Trước đây, các tòa nhà cao tầng thường được cung cấp nước bằng cách bơm nước lên mái và đẩy xuống từng tầng riêng lẻ. Việc điều áp sàn sẽ được xử lý bằng điều hòa không khí và thiết bị giảm áp. Tuy nhiên, phương pháp cấp nước này quá tốn kém và không hiệu quả lắm. Đồng thời, việc thay thế biến tần sẽ giảm chi phí lắp đặt tháp mái.
- Quạt hút hoặc quạt đẩy
Đối với các thiết bị quạt công nghiệp dùng để hút bụi, thổi lò hay thông gió, bộ biến tần cho phép động cơ kiểm soát áp suất, khởi động mềm và lưu lượng theo yêu cầu khi cần thiết, giúp tối ưu hóa hoạt động của động cơ và tiết kiệm năng lượng.
Phương pháp kiểm soát cấp khí truyền thống là đóng van nạp khí để kiểm soát áp suất. Khi áp suất đạt đến giới hạn trên, van nạp đóng lại và máy nén chuyển sang trạng thái không tải. Khi áp suất đạt đến giới hạn dưới, van nạp mở ra và máy nén hoạt động có tải. Trong trường hợp này, biến tần ba pha có chức năng ổn định áp suất đầu ra, giảm thời gian chạy không tải của động cơ và tiết kiệm năng lượng.
- hệ thống nâng
Đối với cần trục và tời, bộ biến tần có thể điều khiển định vị, mô men xoắn và phanh bằng động cơ xoay chiều. Bộ biến tần dành cho thiết bị nâng có hệ thống phanh tái tạo giúp trả lại năng lượng cho lưới điện một cách an toàn và tiết kiệm chi phí.
Những lưu ý khi lắp đặt và vận hành biến tần
Mặc dù mang lại giá trị lớn cho hệ thống nhưng các thành phần của biến tần thường rất nhạy cảm với môi trường bên ngoài. Vì vậy, trong quá trình sử dụng người vận hành cần chú ý:
- Xác định công suất động cơ theo bộ phận, giai đoạn, công đoạn sản xuất và dựa trên đó lựa chọn biến tần phù hợp để tránh lãng phí chi phí đầu tư.
- Bảo quản và xử lý an toàn và đúng cách để tránh hư hỏng các bộ phận của biến tần
- Cần tính toán, kết hợp bộ biến tần với các phương pháp khởi động động cơ khác để quá trình vận hành được trơn tru, tối ưu hóa hiệu suất và chi phí.
Trong hầu hết các trường hợp, việc cài đặt biến tần thường rất đơn giản và có thể được thực hiện trực tiếp từ bảng điều khiển hoặc từ xa thông qua máy tính. Tuy nhiên, đối với các hệ thống có tính chuyên môn cao và tự động hóa, cần có kỹ thuật viên có trình độ chuyên môn cao để thực hiện thao tác này.
Trường hợp 1: Ứng dụng đơn giản
Với quy trình vận hành đơn giản, hãy sử dụng biến tần như một thiết bị điều khiển động cơ độc lập cho các ứng dụng như máy bơm, quạt, máy cuộn, băng tải, cần cẩu, v.v.
Các ứng dụng này chỉ cần cài đặt một số chức năng cơ bản như bật/tắt bằng nút bấm, điều khiển động cơ quay thuận, lùi, thay đổi tốc độ bằng biến trở, thay đổi mức tốc độ, cài đặt thời gian tăng giảm tốc… mà bạn có thể tự thực hiện dưới sự hướng dẫn của kỹ thuật viên.

Xem thêm: Giải thích 6 phương pháp điều khiển biến tần
Trường hợp 2: Ứng dụng chuyên dụng
Biến tần điều khiển động cơ của các máy chuyên dụng như máy sản xuất nhựa, máy giặt, máy công cụ thông qua các quy trình vận hành cụ thể và phản hồi vòng kín.
Việc lắp đặt các loại biến tần này thường do nhà sản xuất thực hiện. Khi đến lúc phải thay biến tần mới, bạn cần nhờ các kỹ thuật viên chuyên nghiệp cấu hình lại vì việc lắp đặt thường không dễ dàng.
Trường hợp 3: Ứng dụng tự động hóa
Biến tần được kết nối truyền thông trong hệ thống giám sát và điều khiển từ xa thông qua PLC, máy tính công nghiệp trong xi măng, hóa dầu, ô tô và các nhà máy lớn khác, thường đòi hỏi người vận hành phải có trình độ chuyên môn cao và hiểu biết sâu sắc về hệ thống.
KTH ELECTRIC hiện là nhà phân phối biến tần LS hàng đầu tại Việt Nam. Chúng tôi không chỉ cung cấp sản phẩm chính hãng 100% mà còn đảm bảo giá cả cạnh tranh và chính sách chiết khấu tốt nhất cho khách hàng. Nếu bạn đang cần báo giá cho một dự án, dự án nào, vui lòng liên hệ với KTH ELECTRIC ngay hôm nay theo số 0904 99 88 77 hoặc email kd@etinco.vn.
Chính sách ưu đãi:
- Thời gian bảo hành là 1-2 năm.
- Chính sách đổi 1 đổi 1 được thực hiện trong thời gian bảo hành (chỉ dành cho KTH ELECTRIC).
- Giao hàng nhanh và miễn phí vận chuyển.
Cam kết chất lượng:
- Đầy đủ hồ sơ chứng nhận CO, CQ.
- Sản phẩm luôn có sẵn, hãy đặt hàng ngay và nhận ngay.
- Cam kết cung cấp sản phẩm chính hãng chất lượng cao nhất.
- Giá cả cạnh tranh nhất trên thị trường.
- Bảo hành chất lượng hàng đầu.
- Nếu chất lượng không được đảm bảo, chúng tôi cam kết “hoàn tiền 100%”.
Khi lựa chọn biến tần LS của KTH ELECTRIC bạn sẽ cảm nhận được sự khác biệt mà các đại lý khác tại Việt Nam không thể có được.

Nội dung được phát triển bởi đội ngũ truongchuvananhue.edu.vn với mục đích chia sẻ và tăng trải nghiệm khách hàng. Mọi ý kiến đóng góp xin vui lòng liên hệ tổng đài chăm sóc: 1900 0000 hoặc email: hotro@truongchuvananhue.edu.vn